[路飞]leetcode-86.分隔链表

148 阅读1分钟

给你一个链表的头节点 head 和一个特定值 x ,请你对链表进行分隔,使得所有 小于 x 的节点都出现在 大于或等于 x 的节点之前。

你应当 保留 两个分区中每个节点的初始相对位置。力扣原文链接

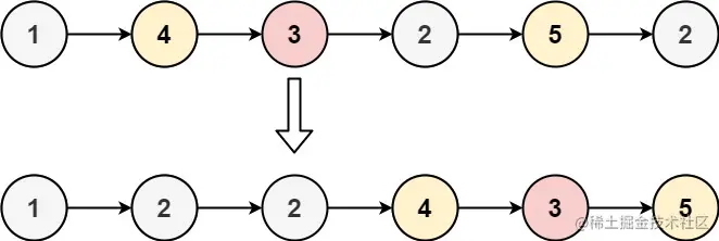
示例 1:

image.png

输入:head = [1,4,3,2,5,2], x = 3
输出:[1,2,2,4,3,5]

示例 2:

输入:head = [2,1], x = 2
输出:[1,2]

题目大体意思是将小于x的放到前边,大于或等于x的放到右边。 但相对位置不变,即不进行排序,将小于x的放到大于等于x的前边

var partition = function (head, x) {
  if (!head) return head;
  let bigList = new ListNode(-1),smallList = new ListNode(-1);
  let bigNode = bigList,smaillNode = smallList,cur = head;
  while (cur) {
    if (cur.val < x) {
      smaillNode.next = cur;
      smaillNode = cur;
    } else {
      bigNode.next = cur;
      bigNode = cur;
    }
    cur = cur.next;
  }
  bigNode.next=null
  smaillNode.next = bigList.next;
  return smallList.next;
};