[路飞] 06——leetcode-[92] 反转链表 II

208 阅读1分钟

92. 反转链表 II

给你单链表的头指针 head 和两个整数 left 和 right ,其中 left <= right 。请你反转从位置 left 到位置 right 的链表节点,返回 反转后的链表 。

示例 1:

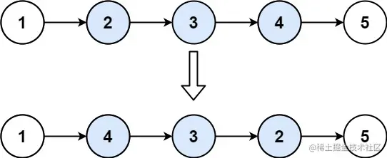
输入: head = [1,2,3,4,5], left = 2, right = 4
输出: [1,4,3,2,5]

示例 2:

输入: head = [5], left = 1, right = 1
输出: [5]

提示:

  • 链表中节点数目为 n
  • 1 <= n <= 500
  • -500 <= Node.val <= 500
  • 1 <= left <= right <= n

代码实现:

/*
 * @lc app=leetcode.cn id=92 lang=javascript
 *
 * [92] 反转链表 II
 */

// @lc code=start
/**
 * Definition for singly-linked list.
 * function ListNode(val, next) {
 *     this.val = (val===undefined ? 0 : val)
 *     this.next = (next===undefined ? null : next)
 * }
 */
/**
 * @param {ListNode} head
 * @param {number} left
 * @param {number} right
 * @return {ListNode}
 */
var reverseBetween = function(head, left, right) {
  if (!head) return null;
  let ret = new ListNode(-1, head), pre = ret, cnt = right - left + 1;
  while (--left) {
    pre = pre.next;
  }
  pre.next = reverse(pre.next, cnt);
  return ret.next;
};
var reverse = function (head, n) {
  let pre = null, cur = head;
  while (n--) {
    [cur.next, pre, cur] = [pre,  cur, cur.next];
  }
  head.next = cur;
  return pre;
}
// @lc code=end