[路飞] 05——leetcode-[206] 反转链表

108 阅读1分钟

206. 反转链表

给你单链表的头节点 head ,请你反转链表,并返回反转后的链表。

示例 1:

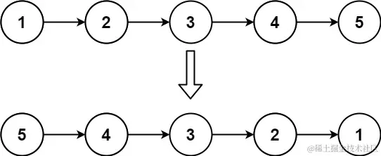
输入: head = [1,2,3,4,5]
输出: [5,4,3,2,1]

示例 2:

输入: head = [1,2]
输出: [2,1]

示例 3:

输入: head = []
输出: []

提示:

  • 链表中节点的数目范围是 [0, 5000]
  • -5000 <= Node.val <= 5000

代码实现:

/*
 * @lc app=leetcode.cn id=206 lang=javascript
 *
 * [206] 反转链表
 */

// @lc code=start
/**
 * Definition for singly-linked list.
 * function ListNode(val, next) {
 *     this.val = (val===undefined ? 0 : val)
 *     this.next = (next===undefined ? null : next)
 * }
 */
/**
 * @param {ListNode} head
 * @return {ListNode}
 */
var reverseList = function(head) {
  if (!head) return null;
  let pre = null, cur = head;
  while (cur) {
    // 方法一
    // let next = cur.next;
    // cur.next = pre;
    // pre = cur;
    // cur = next;
    [cur.next, pre, cur] = [pre, cur, cur.next];
  }
  return pre;
};
// @lc code=end