[路飞]_leetcode-面试题 02.04-分割链表

259 阅读2分钟

题目描述

[题目地址] [B站地址]

给你一个链表的头节点 head 和一个特定值 **x ,请你对链表进行分隔,使得所有 小于 x 的节点都出现在 大于或等于 x 的节点之前。

你不需要 保留 每个分区中各节点的初始相对位置。

示例 1:

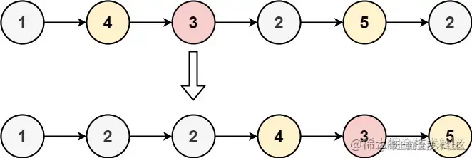
输入: head = [1,4,3,2,5,2], x = 3
输出:[1,2,2,4,3,5]

示例 2:

输入: head = [2,1], x = 2
输出:[1,2]

提示:

  • 链表中节点的数目在范围 [0, 200] 内
  • -100 <= Node.val <= 100
  • -200 <= x <= 200

本题并不复杂,只需要根据节点值和 x 的关系,将节点进行分类即可。

解题思路如下:

  1. 创建一个虚拟头节点作为较小节点链表头节点 smallHead
  2. 创建一个虚拟头节点作为较大节点链表头节点 bigHead
  3. 遍历输入链表,判断节点值是否小于 x,如果条件成立,则将该节点连接到较小节点链表的末尾,反之连接到较大节点链表的末尾
  4. 将较大节点链表末尾节点的 next 指向 null ,防止出现环
  5. 将较大节点链表头节点连接到较小节点链表末尾
  6. 返回较小节点链表头节点即可

演示如下:

image.png

image.png

image.png

image.png

image.png

image.png

代码实现

var partition = function(head, x) {
  // 创建较小节点链表头节点
  const smallHead = new ListNode(0),
  // 较大节点链表头节点
  bigHead = new ListNode(0);
  // 较小链表尾节点指针
  let smallTail = smallHead,
  // 较大链表尾节点指针
  bigTail = bigHead;
  // 遍历输入链表
  while(head){
    // 如果节点值小于 x,连接到较小节点链表末尾
    if(head.val<x){
      smallTail.next = head;
      smallTail = smallTail.next;
    }else{
      // 反之连接到较大节点链表末尾
      bigTail.next = head;
      bigTail = bigTail.next;
    }
    head = head.next;
  }
  // 较大链表尾节点的next指向null,防止出现环
  bigTail.next = null;
  // 将较大节点链表连接到较小节点链表后面
  smallTail.next = bigHead.next;
  // 返回较小节点链表的头节点
  return smallHead.next;
};

至此我们就完成了 leetcode-面试题 02.04-分割链表