[路飞] 03——leetcode-[142] 环形链表 II

101 阅读1分钟

142. 环形链表 II

给定一个链表,返回链表开始入环的第一个节点。 如果链表无环,则返回 null。

如果链表中有某个节点,可以通过连续跟踪 next 指针再次到达,则链表中存在环。 为了表示给定链表中的环,评测系统内部使用整数 pos 来表示链表尾连接到链表中的位置(索引从 0 开始)。如果 pos 是 -1,则在该链表中没有环。注意:pos 不作为参数进行传递,仅仅是为了标识链表的实际情况。

不允许修改 链表。

示例 1:

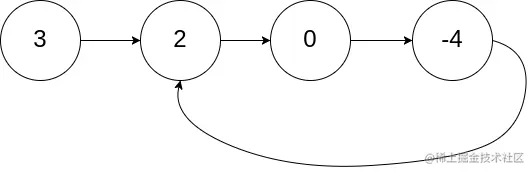
输入: head = [3,2,0,-4], pos = 1
输出: 返回索引为 1 的链表节点
解释: 链表中有一个环,其尾部连接到第二个节点。

示例 2:

输入:head = [1,2], pos = 0 输出:返回索引为 0 的链表节点 解释:链表中有一个环,其尾部连接到第一个节点。 示例 3:

输入: head = [1], pos = -1
输出: 返回 null
解释: 链表中没有环。

提示:

  • 链表中节点的数目范围在范围 [0, 104] 内
  • -105 <= Node.val <= 105
  • pos 的值为 -1 或者链表中的一个有效索引

代码实现:

/*
 * @lc app=leetcode.cn id=142 lang=javascript
 *
 * [142] 环形链表 II
 */

// @lc code=start
/**
 * Definition for singly-linked list.
 * function ListNode(val) {
 *     this.val = val;
 *     this.next = null;
 * }
 */

/**
 * @param {ListNode} head
 * @return {ListNode}
 */
 var detectCycle = function(head) {
  if (!head) return null;
  let pre = head, cur = head; // 定义快慢指针,保证他们的起点一致
  while (cur && cur.next) {
    pre = pre.next; // 快指针走1步
    cur = cur.next.next; // 慢指针走2步
    if (pre === cur) {
      let temp = head;
      while (pre !== temp) {
        pre = pre.next;
        temp = temp.next;
      }
      return pre; // 只要出来了,证明相遇了,找到入环点了
    }
  }
  return null; // 如果出来了,证明有终点,没有入环点
};
// @lc code=end