[路飞] 01——leetcode-[25] K 个一组翻转链表

150 阅读1分钟

25. K 个一组翻转链表

给你一个链表,每 k 个节点一组进行翻转,请你返回翻转后的链表。

k 是一个正整数,它的值小于或等于链表的长度。

如果节点总数不是 k 的整数倍,那么请将最后剩余的节点保持原有顺序。

进阶:

你可以设计一个只使用常数额外空间的算法来解决此问题吗? 你不能只是单纯的改变节点内部的值,而是需要实际进行节点交换。

示例 1:

image.png

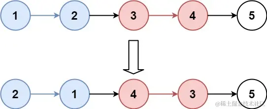
输入:head = [1,2,3,4,5], k = 2
输出:[2,1,4,3,5]

示例 2:

image.png

输入:head = [1,2,3,4,5], k = 3
输出:[3,2,1,4,5]

示例 3:

输入:head = [1,2,3,4,5], k = 1
输出:[1,2,3,4,5]

示例 4:

输入:head = [1], k = 1
输出:[1]

提示:

  • 列表中节点的数量在范围 sz 内
  • 1 <= sz <= 5000
  • 0 <= Node.val <= 1000
  • 1 <= k <= sz

代码实现

/*
 * @lc app=leetcode.cn id=25 lang=javascript
 *
 * [25] K 个一组翻转链表
 */

// @lc code=start
/**
 * Definition for singly-linked list.
 * function ListNode(val, next) {
 *     this.val = (val===undefined ? 0 : val)
 *     this.next = (next===undefined ? null : next)
 * }
 */
/**
 * @param {ListNode} head
 * @param {number} k
 * @return {ListNode}
 */
var reverseKGroup = function(head, k) {
  if (!head) return null;
  let ret = new ListNode(-1, head), pre = ret;
  do {
    pre.next = reverse(pre.next, k);
    for (let i = 0; i < k && pre; i++) {
      pre = pre.next;
    }
    if (!pre) break;  // 如果为空表示没有待翻转的了,则结束循环
  } while (1)
  return ret.next;
};
var reverse = function (head, n) {
  let pre = head, cur = head, con = n;
  while (--n && pre) {
    pre = pre.next;
  }
  if (!pre) return head;
  pre = null;
  while (con--) {
    [cur.next, pre, cur] = [pre, cur, cur.next];
  }
  head.next = cur;
  return pre;
}
// @lc code=end