剑指Offer 24 | 反转链表

97 阅读2分钟

24.反转链表

题目描述

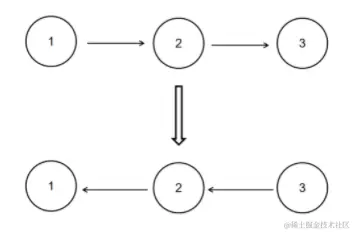
给定一个单链表的头结点pHead,长度为n,反转该链表后,返回新链表的表头。

如当输入链表{1,2,3}时, 经反转后,原链表变为{3,2,1},所以对应的输出为{3,2,1}

以上转换过程如下图所示:

思路 & 解答

循环反向指针

首先,使用循环解答,不断把指向下一个的指针,指向前面的。假设链表是1->2->3->4,那么执行一次循环里面的内容的图示如下:

直到 head==null 的时候,返回first即可。 代码如下:

    public static ListNode ReverseList(ListNode head) {
        if (head == null) {
            return head;
        } else {
            ListNode first = null;
            while (head!= null) {
                ListNode temp = head.next;
                head.next = first;
                first = head;
                head = temp;
            }
            return first;
        }
    }

C++ 代码如下:

/*
struct ListNode {
	int val;
	struct ListNode *next;
	ListNode(int x) :
			val(x), next(NULL) {
	}
};*/
class Solution {
public:
    ListNode *ReverseList(ListNode *pHead) {
        if (pHead == NULL) {
            return pHead;
        } else {
            ListNode *first = NULL;
            while (pHead != NULL) {
                ListNode *temp = pHead->next;
                pHead->next = first;
                first = pHead;
                pHead = temp;
            }
            return first;
        }
    }
};

时间复杂度:O(n) 空间复杂度:O(1)

头插法

还有一种方法,是头插法,也就是先初始化一个 listNode,初始化为 0->null;然后遍历链表,不断将元素插入到0的后面。假设链表是 1->2->3->4.

0 -> 1 -> null
0 -> 2 -> 1 -> null
0 -> 3 -> 2 -> 1 -> null
0 -> 4 -> 3 -> 2 -> 1 -> null

然后取出 listnode.next 即可。

代码如下:

public ListNode ReverseList(ListNode head) {
    ListNode listnode = new ListNode(1);
    while (head != null) {
        ListNode next = head.next;
        head.next = listnode.next;
        listnode.next = head;
        head = next;
    }
    return listnode.next;
}

C++代码实现如下:

class Solution {
public:
    ListNode *ReverseList(ListNode *pHead) {
        ListNode *listnode = new ListNode(1);
        while (pHead != NULL) {
            ListNode *next = pHead->next;
            pHead->next = listnode->next;
            listnode->next = pHead;
            pHead = next;
        }
        return listnode->next;
    }
};

时间复杂度:O(n)
空间复杂度:O(1)

【作者简介】
秦怀,公众号【秦怀杂货店】作者,个人网站:aphysia.cn,技术之路不在一时,山高水长,纵使缓慢,驰而不息。

剑指Offer全部题解PDF

开源编程笔记