LeetCode 206. 反转链表 迭代 递归

159 阅读1分钟

题目描述

题目来源:力扣(LeetCode)
题目链接:206. 反转链表

给你单链表的头节点 head ,请你反转链表,并返回反转后的链表。
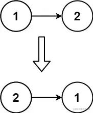
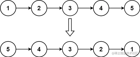
示例 1:

rev1ex1.jpg

输入: head = [1,2,3,4,5]
输出: [5,4,3,2,1]

示例 2:

rev1ex2.jpg

输入: head = [1,2]
输出: [2,1]

提示:

  • 链表中节点的数目范围是 [0, 5000]
  • -5000 <= Node.val <= 5000

解题方法一:迭代

思路

从左到右遍历原链表,同时将节点采用头插法插入到新链表。

代码

/**
 * Definition for singly-linked list.
 * struct ListNode {
 *     int val;
 *     ListNode *next;
 *     ListNode() : val(0), next(nullptr) {}
 *     ListNode(int x) : val(x), next(nullptr) {}
 *     ListNode(int x, ListNode *next) : val(x), next(next) {}
 * };
 */
class Solution {
public:
    ListNode* reverseList(ListNode* head) {
        // 新链表的头节点
        ListNode* newHead = nullptr;
        // 遍历原链表
        while(head) {
            // 记录当前节点
            auto node = head;
            // 更新 head
            head = head->next;
            // 新链表头部插入 node
            node->next = newHead;
            // 更新新链表的头节点
            newHead = node;
        }
        return newHead;
    }
};

解题方法二:递归

思路

当单链表长度小于 2 时,新链表就是原链表; 否则,递归反转以下一个节点为头节点的链表,再将下一个节点的 next 域指向当前节点,且当前节点的 next 域置为空。

代码

/**
 * Definition for singly-linked list.
 * struct ListNode {
 *     int val;
 *     ListNode *next;
 *     ListNode() : val(0), next(nullptr) {}
 *     ListNode(int x) : val(x), next(nullptr) {}
 *     ListNode(int x, ListNode *next) : val(x), next(next) {}
 * };
 */
class Solution {
public:
    ListNode* reverseList(ListNode* head) {
        // 递归出口
        if(!head || !head->next) {
            return head;
        }
        // 递归
        auto newHead = reverseList(head->next);
        // 反转指针
        head->next->next = head;
        // 置为空
        head->next = nullptr;
        return newHead;
    }
};