1. 图论
1.1. 什么是图
- 图结构是一种与树结构有些相似的数据结构
- 图论是数学的一个分支,并且在数学概念上,树是图的一种
- 它以图形为研究对象,研究顶点和边组成的图形的数学理论和方法
- 主要的研究目的是事物之间的关系,顶点代表事物,边代表两个事物间的关系
1.2. 图的特点
- 一组顶点:通常用V(Vertex)表示顶点的集合
- 一组边:通常用E(Edge)表示边的集合
- 边是顶点和顶点之间的连线
- 边可以是有向的,也可以是无向的
- 比如A--B通常表示无向,A-->B通常表示有向
1.3. 图的术语
- 顶点:表示图中的一个节点
- 边:表示顶点和顶点之间的连线
- 注意这里的边不叫路径,路径有其他的概念
- 度:一个顶点的度是相邻顶点的数量
- 路径:路径是顶点v1,v2,...,vn的一个连续序列
- 简单路径:简单路径要求不包含重复的顶点
- 回路:第一个顶点和最后一个顶点相同的路径称为回路
- 无向图:所有的边都没有方向
- 有向图:图中的边是有方向的
- 无权图:边没有携带权重,图中的边没有任何意义
- 带权图:边有一定的权重
- 权重可以是任意你希望表示的数据
- 比如距离或者花费的时间或者票价等等
1.4. 图的表示
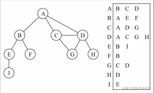
图中包含的信息:顶点和边
-
顶点:使用ABCD来表示
- 这些ABCD可以使用一个数组存储起来
- ABCD中可能包含其他含义的数据
-
边:因为边是两个顶点之间的关系,表示起来会相对麻烦一点
1.4.1. 邻接矩阵
邻接矩阵是一种比较常见的表示图的方式
- 邻接矩阵让每个节点和一个整数相关联,该整数作为数组的下标值
- 我们用一个二维数组来表示顶点之间的连接
- 例如:[0][2]表示A->C之间的连接

- 图片解析
- 二维数组中,0表示没有连线,1表示有连线
- 通过二维数组,我们可以很快地找到一个顶点和哪些顶点有连线
- 另外,A-A,B-B等(也就是顶点到自己的连线)通常使用0表示
邻接矩阵的问题: 如果图是一个稀疏图,那么矩阵中将存在大量的0,这意味着我们浪费了计算机存储空间来表示根本不存在的边
1.4.2. 邻接表
邻接表是另外一种常用的表示图的方式
- 邻接表由图中每个顶点以及和顶点相邻的顶点列表组成
- 这个列表有很多种方式来存储:数组/链表/字典(哈希表)都可以


图片解析: 例如我们要表示和A顶点有关联的顶点(边),A和B/C/D有边 那么我们可以通过A找到对应的数组/链表/字典,再取出其中的内容就可以了
邻接表的问题:
- 邻接表计算出度是比较简单的(出度:指向别人的数量,入度:别人指向自己的数量)
- 如果需要计算有向图的“入度”,那么是一件非常麻烦的事
- 它必须构造一个“逆邻接表”,才能有效计算“入度”,但是开发中“出度”相对用的比较少
1.5. 图结构封装
<script>
// 封装图结构
function Graph() {
//属性
// 顶点:使用数组
this.vertexes = []
// 边:使用字典
this.edges = new Dictionary()
//方法
// 添加方法
// 1. 添加顶点的方法
Graph.prototype.addVertex = function (v) {
this.vertexes.push(v)
this.edges.set(v, [])
}
// 2. 添加边的方法
// 添加边的方法
Graph.prototype.addEdge = function (v1, v2) {
this.edges.get(v1).push(v2)
this.edges.get(v2).push(v1)
}
// 实现toString方法
Graph.prototype.toString = function () {
// 1. 定义字符串,保存最终的结果
var resultString = ''
// 2. 遍历所有的顶点,以及顶点对应的边
for (var i = 0; i < this.vertexes.length; i++) {
resultString += this.vertexes[i] + '->'
var vEdges = this.edges.get(this.vertexes[i])
for (var j = 0; j < vEdges.length; j++) {
resultString += vEdges[j] + ' '
}
resultString += '\n'
}
return resultString
}
}
// 测试代码
// 1. 创建图结构
var g = new Graph()
// 2. 添加顶点
var myVertexes = ['A', 'B', 'C', 'D', 'E', 'F', 'G', 'H', 'I']
for (var i = 0; i < myVertexes.length; i++) {
g.addVertex(myVertexes[i])
}
// 3. 添加边
g.addEdge('A', 'B')
g.addEdge('A', 'C')
g.addEdge('A', 'D')
g.addEdge('C', 'D')
g.addEdge('C', 'G')
g.addEdge('D', 'G')
g.addEdge('D', 'H')
g.addEdge('B', 'E')
g.addEdge('B', 'F')
g.addEdge('E', 'I')
// 4. 测试结果
alert(g)
</script>
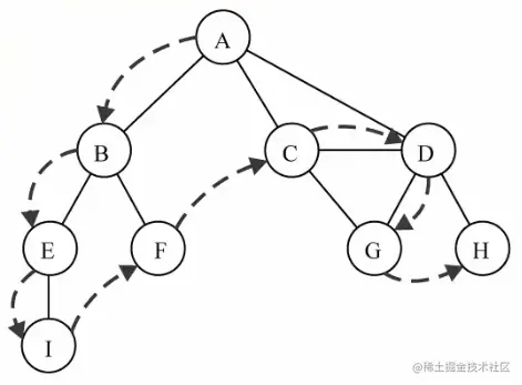
1.6. 图的遍历
图的遍历意味着需要将图中每个顶点访问一遍,并且不能有重复的访问
有两种算法可以对图进行遍历:
- 广度优先搜索(Breadth-First Search,简称BFS)
- 深度优先搜索(Depth-First Search,简称DFS)
两种遍历算法,都需要明确指定第一个被访问的顶点
1.6.1. 遍历的思想
两种算法的思想:
- BFS:基于队列,入队列的顶点先被探索
- DFS:基于栈或者使用递归,通过将顶点存入栈中,顶点是沿着路径被探索的,存在的新的相邻顶点就去访问
为了记录顶点是否被访问过,我们使用三种颜色来反映他们的状态:
- 白色:表示该顶点还没有被访问
- 灰色:表示该顶点被访问过,但是并未被探索过
- 黑色:表示该顶点被访问过且被完全探索过
1.6.2. 广度优先搜索
广度优先搜索算法的思路:
- 广度优先算法会从指定的第一个顶点开始遍历图,先访问其所有的相邻点,就像一次访问图的一层
- 换句话说,就是先宽后深的访问顶点

广度优先搜索的实现:
- 创建一个队列
- 将V标注为被发现的灰色,并将V加入队列Q
- 如果Q非空,执行下面的步骤:
- 将V从Q中取出队列
- 将V标注为被发现的灰色
- 将V所有的未被访问过的邻接点(白色)加入到队列中
- 将V标注为黑色
// 实现广度优先搜索(BFS)
Graph.prototype.bfs = function (initV, handler) {
// 1. 初始化颜色
var colors = this.initializeColor()
// 2. 创建队列
var queue = new Queue()
// 3. 将顶点加入队列中
queue.enqueue(initV)
// 4. 循环从队列中取出元素
while (!queue.isEmpty()) {
// 4.1. 从队列中取出一个顶点
var v = queue.dequeue()
// 4.2. 获取和顶点相连的另外顶点
var vList = this.edges.get(v)
// 4.3. 将v的颜色设置为灰色
colors[v] = 'gray'
// 4.4. 遍历所有的顶点,并且加入到队列中
for (var i = 0; i < vList.length; i++) {
var e = vList[i]
if (colors[e] == 'white') {
colors[e] = 'gray'
queue.enqueue(e)
}
}
// 4.5. 访问顶点
handler(v)
// 4.6. 将顶点设置为黑色
colors[v] = 'black'
}
}
1.6.3. 深度优先搜索
深度优先搜索的思路:
- 深度优先搜索算法将会从第一个指定的顶点开始遍历图,沿着路径直到这条路径的最后被访问了
- 接着原路回退并探索下一条路径

深度优先算法的实现:
- 广度优先算法我们使用的是队列,这里可以使用栈完成,也可以使用递归
- 方便代码书写,使用递归
// 深度优先搜索实现(DFS)
Graph.prototype.dfs = function (initV, handler) {
// 1. 初始化颜色
var colors = this.initializeColor()
// 2. 从某个顶点开始递归访问
this.dfsVisit(initV,colors,handler)
}
Graph.prototype.dfsVisit = function (v, colors, handler) {
// 1. 将颜色设置为灰色
colors[v] = 'gray'
// 2. 处理v顶点
handler(v)
// 3. 访问v相连的其他顶点
var vList = this.edges.get(v)
for (var i = 0; i < vList.length; i++) {
var e = vList[i]
if (colors[e] == 'white') {
this.dfsVisit(e, color, handler)
}
}
// 4. 将v设置成黑色
colors[v] = 'black'
}