leetcode_LCP 02 分式化简

144 阅读1分钟

要求

有一个同学在学习分式。他需要将一个连分数化成最简分数,你能帮助他吗?

image.png

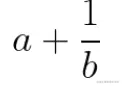
连分数是形如上图的分式。在本题中,所有系数都是大于等于0的整数。

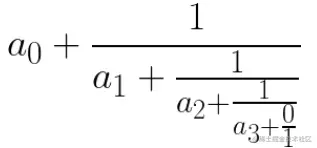
输入的cont代表连分数的系数(cont[0]代表上图的a0,以此类推)。返回一个长度为2的数组[n, m],使得连分数的值等于n / m,且n, m最大公约数为1。

示例 1:

输入:cont = [3, 2, 0, 2]
输出:[13, 4]
解释:原连分数等价于3 + (1 / (2 + (1 / (0 + 1 / 2))))。注意[26, 8], [-13, -4]都不是正确答案。

示例 2:

输入:cont = [0, 0, 3]
输出:[3, 1]
解释:如果答案是整数,令分母为1即可。

限制:

  • cont[i] >= 0
  • 1 <= cont的长度 <= 10
  • cont最后一个元素不等于0
  • 答案的n, m的取值都能被32位int整型存下(即不超过2 ^ 31 - 1)。

核心代码

class Solution:
    def fraction(self, cont: List[int]) -> List[int]:
        m = 0
        n = 1
        for i in range(len(cont) - 1,-1,-1):
            m += n * cont[i]
            m,n = n,m
        return [n,m]

image.png

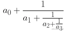
解题思路:先看题目,假设要计算至a3(式1)

image.png

注意到,前面每项都是(式2)

image.png

而只有最后一项是(式3) CodeCogsEqn (6).png

如何能把最后一项也转换为类似式2,那么,只需从后向前计算每一项即可。

image.png

则有:

image.png

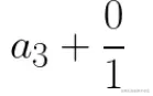
如图所示,最后一项添加一个0/1,值是不变的,但我们可以使用统一的步骤进行计算:

  • 设n=0, m=1
  • 从最后一项开始循环到第一项,迭代计算:
    • a + n / m等价于(a * m + n) / m
    • 对调m和n的值作为下一轮计算的n和m
  • 其实最后一步计算完,我们多取了一次倒数,再把n和m对调一次即可。 这里不用考虑公约数,因为每次计算出来的值是式2, 化解之后一定是最简分数的形式。