[路飞]_leetcode-1305-两棵二叉搜索树中的所有元素

125 阅读2分钟

[题目地址] [B站地址]

给你 root1 和 root2 这两棵二叉搜索树。

请你返回一个列表,其中包含 两棵树 中的所有整数并按 升序 排序。.

示例 1:

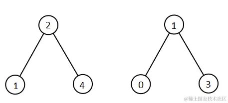
输入: root1 = [2,1,4], root2 = [1,0,3]
输出: [0,1,1,2,3,4]

示例 2:

输入: root1 = [0,-10,10], root2 = [5,1,7,0,2]
输出: [-10,0,0,1,2,5,7,10]

示例 3:

输入: root1 = [], root2 = [5,1,7,0,2]
输出: [0,1,2,5,7]

示例 4:

输入: root1 = [0,-10,10], root2 = []
输出: [-10,0,10]

示例 5:

输入: root1 = [1,null,8], root2 = [8,1]
输出: [1,1,8,8]

提示:

  • 每棵树最多有 5000 个节点。
  • 每个节点的值在 [-10^5, 10^5] 之间。

sort 排序

解题思路

遍历两棵二叉搜索树,将节点值插入数组。
对节点值数组进行升序排序,返回排序后的结果数组即可。时间复杂度为 O(n log n)

代码实现

var getAllElements = function(root1, root2) {
  // 创建节点值数组
  const arr = [];
  // 中序遍历
  function inorder(node){
    if(node === null) return;
    inorder(node.left);
    // 将每个节点值插入数组
    arr.push(node.val);
    inorder(node.right);
  }
  inorder(root1);
  inorder(root2);
  // 将数组进行升序排序并返回
  return arr.sort((a,b) => a-b)
};

归并排序

解题思路

因为二叉搜索树的性质为左子树的节点值都小于根节点值,右子树的节点值都大于根节点值。所以如果对二叉搜索树进行中序遍历,得到的结果数组是一个升序的数组。
我们可以基于这样的一个结果,进行归并排序,这样的排序时间复杂度为 O(n)。所以相对于之前的 sort 排序解题,时间复杂度上会有一个优化。

代码实现

var getAllElements = function(root1, root2) {
  // 创建两个数组,分别保存两棵树的节点值
  const arr1 = [],arr2 = [];
  function inorder(node,arr){
    if(node === null) return;
    inorder(node.left,arr);
    arr.push(node.val);
    inorder(node.right,arr);
  }
  inorder(root1,arr1);
  inorder(root2,arr2);
  // 创建结果数组
  const res = [],
  // 对两个有序数组进行归并排序
  len1 = arr1.length,len2 = arr2.length;
  let i = 0,j = 0;
  while(i<len1 || j<len2){
    if(j===len2 || (i<len1 && (arr1[i]<arr2[j]))){
      res.push(arr1[i]);
      i++
    }else{
      res.push(arr2[j])
      j++
    }
  }
  // 返回排序后的结果
  return res;
};

至此我们就完成了 leetcode-1305-两棵二叉搜索树中的所有元素

如有任何问题或建议,欢迎留言讨论!