[路飞]_leetcode-148-排序链表

174 阅读1分钟

[题目地址] [B站地址]

给你链表的头结点 head ,请将其按 升序 排列并返回 排序后的链表 。

示例 1:

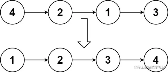
输入: head = [4,2,1,3]
输出: [1,2,3,4]

示例 2:

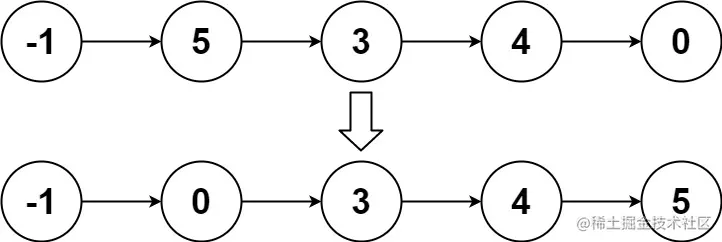
输入: head = [-1,5,3,4,0]
输出: [-1,0,3,4,5]

示例 3:

输入: head = []
输出: []

提示:

  • 链表中节点的数目在范围 [0, 5 * 104] 内
  • -105 <= Node.val <= 105

进阶: 你可以在 O(n log n) 时间复杂度和常数级空间复杂度下,对链表进行排序吗?

解题思路

归并排序

首先讲一下本题的最优解,同时也是官方题解。
将原链表拆分为每一个节点为链表的子链表。
然后将它们两两合并,合并过程中会对比两个节点的大小,小的在前,大的在后。
再将合并后的子链表两两进行合并,同样,合并过程中,比较两个链表节点的大小,小的在前,大的在后。
直到所有子链表合并为一个链表,就完成了输入链表的排序。
因为每一个链表节点是一个对象,所以在整个拆分过程中是不会增加额外的存储空间的。
同时也是因为链表这种数据结构不像数组,所以在拆分及合并过程中,会比较繁琐,这里我偷个懒就不去实现对应代码了,感兴趣的小伙伴可以去看一下官方题解。

暴力美学

接下来讲一下本题的另外一种我比较喜欢的解题思路。
首先遍历链表,将所有节点值存储到一个数组中。
然后对数组进行 sort 升序排序。
根据排序后的结果构建结果链表即可。
这样的一种解题方式,时间复杂度同样是 O(n log n) 的,但是因为我们开辟了一个数组存储节点值以及创建了新的结果链表,所以空间复杂度是 O(n) 的。

代码实现

var sortList = function(head) {
  // 特判输入链表为空,返回空
  if(head === null) return null;
  // 初始化数组存储链表中的节点值
  const arr = [];
  while(head){
    arr.push(head.val);
    head = head.next;
  }
  // 对节点值数组升序排序
  arr.sort((a,b) => a-b)
  // 根据排序数组构造结果链表
  head = new ListNode(arr[0])
  let cur = head;
  for(let i = 1;i<arr.length;i++){
    cur.next = new ListNode(arr[i])
    cur = cur.next;
  }
  // 返回结果链表
  return head;
};

至此我们就完成了 leetcode-148-排序链表

如有任何问题或建议,欢迎留言讨论!