[路飞]_leetcode 148. 排序链表

114 阅读1分钟

题目来源:leetcode 148. 排序链表

给你链表的头结点 head ,请将其按 升序 排列并返回 排序后的链表 。

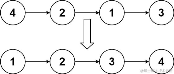
示例 1:

image.png

输入:head = [4,2,1,3] 输出:[1,2,3,4]

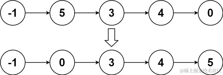
示例 2:

image.png

输入:head = [-1,5,3,4,0]
输出:[-1,0,3,4,5]

示例 3:

输入:head = []
输出:[]  

提示:

链表中节点的数目在范围 [0, 5 * 104] 内
-105 <= Node.val <= 105  

进阶:你可以在 O(n log n) 时间复杂度和常数级空间复杂度下,对链表进行排序吗?

代码实现

/**
 * Definition for singly-linked list.
 * function ListNode(val, next) {
 *     this.val = (val===undefined ? 0 : val)
 *     this.next = (next===undefined ? null : next)
 * }
 */
/**
 * @param {ListNode} head
 * @return {ListNode}
 */
let sortList = function(head) {
    return mergeSortRec(head)
}

// 归并排序
// 若分裂后的两个链表长度不为 1,则继续分裂
// 直到分裂后的链表长度都为 1,
// 然后合并小链表
let mergeSortRec = function (head) {
    if(!head || !head.next) {
        return head
    }

    // 获取中间节点
    let middle = middleNode(head)
    // 分裂成两个链表
    let temp = middle.next
    middle.next = null
    let left = head, right = temp
    // 继续分裂(递归分裂)
    left = mergeSortRec(left)
    right = mergeSortRec(right)
    // 合并两个有序链表
    return mergeTwoLists(left, right)
}

// 获取中间节点
// - 如果链表长度为奇数,则返回中间节点
// - 如果链表长度为偶数,则有两个中间节点,这里返回第一个
let middleNode = function(head) {
    let fast = head, slow = head
    while(fast && fast.next && fast.next.next) {
        slow = slow.next
        fast = fast.next.next
    }
    return slow
}

// 合并两个有序链表
let mergeTwoLists = function(l1, l2) {
    let preHead = new ListNode(-1);
    let cur = preHead;
    while(l1 && l2){
        if(l1.val < l2.val){
            cur.next = l1;
            l1 = l1.next;
        }else{
            cur.next = l2;
            l2 = l2.next;
        }
        cur = cur.next;
    }
    cur.next = l1 || l2;
    return preHead.next;
}