leetcode_1791 找出星型图的中心节点

136 阅读1分钟

要求

有一个无向的星型图,由 n 个编号从 1 到 n 的节点组成。星型图有一个中心节点,并且恰有 n - 1 条边将中心节点与其他每个节点连接起来。

给你一个二维整数数组 edges ,其中 edges[i] = [ui, vi] 表示在节点 ui 和 vi 之间存在一条边。请你找出并返回 edges 所表示星型图的中心节点。

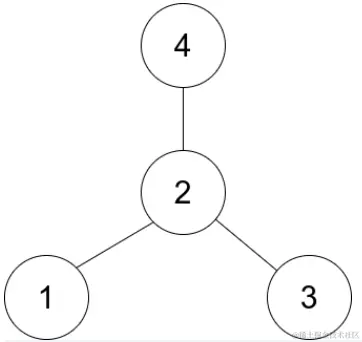
示例 1:

image.png

输入:edges = [[1,2],[2,3],[4,2]]
输出:2
解释:如上图所示,节点 2 与其他每个节点都相连,所以节点 2 是中心节点。

示例 2:

输入:edges = [[1,2],[5,1],[1,3],[1,4]]
输出:1

提示:

  • 3 <= n <= 105
  • edges.length == n - 1
  • edges[i].length == 2
  • 1 <= ui, vi <= n
  • ui != vi
  • 题目数据给出的 edges 表示一个有效的星型图

核心代码

class Solution:
    def findCenter(self, edges: List[List[int]]) -> int:
        if edges[0][0] in edges[1]:
            return edges[0][0]
        else:
            return edges[0][1]

image.png

解题思路:星型图有一个中心节点,并且恰有 n - 1 条边将中心节点与其他每个节点连接起来,所以中心节点一定在和其他的边的连接中,比较简单。