[路飞]_leetcode-230-二叉搜索树中第K小的元素

119 阅读1分钟

题目描述

给定一个二叉搜索树的根节点 root ,和一个整数 k ,请你设计一个算法查找其中第 k 个最小元素(从 1 开始计数)。

示例 1:

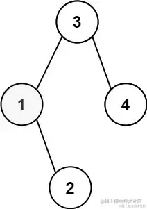
输入: root = [3,1,4,null,2], k = 1
输出: 1

示例 2:

输入: root = [5,3,6,2,4,null,null,1], k = 3
输出: 3

提示:

  • 树中的节点数为 n 。
  • 1 <= k <= n <= 104
  • 0 <= Node.val <= 104

进阶: 如果二叉搜索树经常被修改(插入/删除操作)并且你需要频繁地查找第 k 小的值,你将如何优化算法?

解题思路

二叉搜索树的性质:
对于任意一棵子树,根节点的值大于左子节点的值,根节点的值小于右子节点的值

基于以上二叉搜索树的性质,如果对二叉搜索树进行中序遍历的话,将会得到一个严格升序的序列,
获取这个序列中的第 k 个元素,就是二叉搜索树中第 k 个最小元素。

代码实现

var kthSmallest = function(root, k) {
   let stack = [];
    let node = root;
    
    while(node || stack.length){
        // 遍历左子树
        while(node){
            stack.push(node)
            node = node.left
        }

        node = stack.pop()
        if(--k === 0){
            return node.val
        }
        node = node.right
    }
    return null

至此我们就完成了leetcode-230-二叉搜索树中第K小的元素