1. 树结构
1.1. 树结构的优点
为什么要使用树结构来保存数据呢? 树结构和数组/链表/哈希表对比有什么优点?
数组/链表/哈希表优缺点总结
数组:
- 优点: 数组的主要优点是根据下标值访问效率会很高 但是如果我们希望根据元素来查找对应的位置,比较好的方式是先对数组进行排序,再进行二分查找
- 缺点: 需要点对数组进行排序,生成有序数组,才能提高查找效率 另外数组在插入和删除数据时,需要有大量的位移操作,效率很低
链表:
- 优点: 链表的插入和删除操作效率很高
- 缺点: 查找效率很低,需要从头开始依次访问链表中的每个数据项,直到找到 而且即使插入和删除操作效率很高,但是如果需要插入和删除中间位置的数据,还是需要从头先找到对应的数据
哈希表:
- 优点: 哈希表的插入和查询、删除效率都很高
- 缺点:
- 空间利用率不高,底层使用的是数组,并且某些单元是没有被利用的
- 哈希表中的元素是无序的,不能按照固定的顺序来遍历哈希表中的元素
- 不能快速的找出哈希表中的最大值和最小值这些特殊的值
树结构
- 效率仅次于上面的哈希表
- 数据是有序的
- 可以查找最值
- 结构是非线性的,可以表示一对多的关系
1.2. 数结构的术语
- 树(Tree):n>0个节点构成的有限集合
- 当n=0时,称为空树
- 对于任何 一颗非空树,它具备以下性质:
- 树中有一个被称为根(Root)的特殊节点,用r表示
- 其余的节点可分为m(m>0)个互不相交的有限集T1,T1,T3,...,Tm,其中每个集合本身又是一棵树,称为原来树的“子树”(SubTree)
- 节点的度(Degree):节点的子树个数
- 树的度:树的所有节点中国最大的度数
- 叶节点:度为0的节点(也称为叶子节点)
- 路径和路径长度:从节点n1到nk的路径为一个节点序列n1,n2,n3,...,nk,ni是ni+1的父节点。路径所包含边的个数为路径的长度
- 节点的层次(Level):规定根节点在1层,其他任意节点的层数是其父节点的层数加1
- 数的深度(Depth):树中所有节点中最大层次是这颗数的深度
1.3. 数结构的普通表示方式
1.4. 二叉树
如果树中每个节点最多只能有两个子节点,这样的树就称为“二叉树”
1.4.1. 二叉树的定义:
- 二叉树可以为空,也就是没有节点
- 若不为空,则它是由根节点和称为其左子树TLhe右子树TR的两个不相交的二叉树组成
- 二叉树有五种形态:

1.4.2. 完美二叉树
完美二叉树(Perfect Binary Tree),也称为满二叉树(Full Binary Tree)
- 在二叉树中,除了最下面一层的叶节点外,每层节点都有2个子节点,就构成了满二叉树

1.4.3. 完全二叉树
完全二叉树(Complete Binary Tree)
- 除了二叉树最后一层从左到右的叶节点连续存在,只缺右侧若干节点
- 完美二叉树是特殊的完全二叉树
1.4.2. 二叉树的特性
- 一个二叉树第i层的最大节点树为:2^(i-1),i>=1
- 深度为k的二叉树有最大节点总数为:2^k-1,K>=1
- 对于任何非空二叉树T,若n0表示叶节点的个数,n2是度为2的非叶节点的个数,那么两者满足关系n0=n2+1
1.4.3. 二叉树的存储
二叉树的存储常见的形式是数组和链表
使用数组
完全二叉树:
按从上至下,从左至右顺序存储

非完全二叉树:
非完全二叉树要转成完全二叉树才可以按照上面的方案存储
但是会有很大的空间浪费

使用链表
二叉树最常见的方式还是使用链表存储
每个节点都封装成一个Node,Node中包含存储的数据,左节点的引用,右节点的引用

1.4.4. 二叉搜索树
二叉搜索树(BST,Binary Search Tree),也称为二叉排序树或者二叉查找树
- 二叉搜索树是一颗二叉树,可以为空;
- 如果不为空,满足以下性质:
- 非空左子树的所有键值小于其根节点的键值
- 非空右子树的所有键值大于其根节点的键值
- 左右子树本身也都是二叉搜索树
二叉搜索树的特点:
- 相对较小的值总是保存在左节点上,相对较大的值总是保存在右节点上
- 二叉搜索树的查找效率非常高
二叉搜索树的封装
二叉搜索树常见操作
- insert(key):插入新值
- search(key):查找一个键,如果节点存在,返回true,不存在,返回false
- inOrderTraverse:
- preOrderTraverse:
- postOrderTraverse:
- min:
- max:
- remove(key):
遍历二叉搜索树
这里学的树的遍历,针对所有的二叉树都是适用的不仅仅是二叉搜索树
二叉树的遍历常见的有三种方式:
- 先序遍历
- 中序遍历
- 后序遍历
- 还有层序遍历,使用较少,可以使用队列来完成
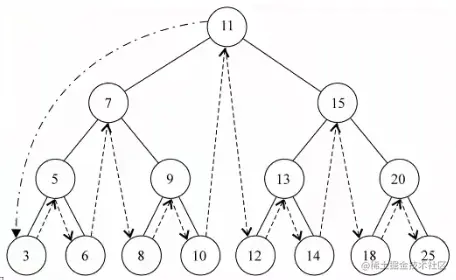
先序遍历
遍历过程:
- 访问根节点
- 先序遍历其左子树
- 先序遍历其右子树
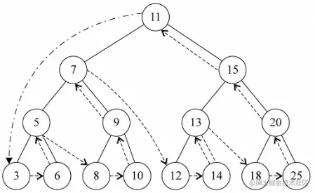
中序遍历
遍历过程:
- 中序遍历其左子树
- 访问根节点
- 中序遍历其右子树


后序遍历
遍历过程:
- 后序遍历其左子树
- 后续遍历其右子树
- 访问根节点


最大值&最小值
搜索特定的值
二叉搜索树的删除
删除节点要从查找要删的节点开始,找到节点后,需要考虑三种情况:
- 该节点是叶节点(没有子节点,比较简单)
- 该节点有一个子节点(也相对简单)
- 该节点有两个子节点(情况比较复杂)
情况一:没有子节点
这种情况相对比较简单,我们需要检测current 的left以及right是否都为null 都为null之后还要检测一个东西,就是是否current就是根,都为null,并且为根,那么相当于要清空二叉树 否则就要把父节点的left或者right字段设置为null即可
情况二:有一个子节点
要删除的current节点,只有2个连接(如果有两个子节点,就是三个连接了),一个连接父节点,一个连接唯一的子节点 需要从这三者之间:爷爷-自己-儿子,将自己(current)剪短,让爷爷直接连接儿子即可 这个过程需要改变父节点的left或者right,指向要删除节点的子节点 当然,在这个过程中还要考虑是否current就是根
情况三:有两个子节点
如果我们要删除的节点有两个子节点,甚至子节点还有子节点,这种情况我们需要从下面的子节点中找到一个节点,来替换当前的节点
但是找到的这个节点有什么特征呢?应该是current节点下面所有节点中最接近current节点的
- 要么比current节点小一点点
- 要么比current节点大一点点
这个节点怎么找呢?
- 比current小一点点的节点,一定是current左子树的最大值
- 比current大一点点的节点,一定是current右子树的最小值
前驱&后继
在二叉搜索树中,这两个特别的节点,有两个特别的名字:
- 比current小一点点的节点,称为current节点的前驱
- 比current大一点点的节点,称为current节点的后继
也就是为了能够删除有两个子节点的current,要么要找到它的前驱,要么要找到它的后继
二叉搜索树封装代码
// 封装二叉搜索树
function BinarySearchTree() {
function Node(key) {
this.key = key
this.left = null
this.right = null
}
// 属性
this.root = null
// 方法
// 1. 插入数据
BinarySearchTree.prototype.insert = function (key) {
// 1. 根据key创建节点
var newNode = new Node(key)
// 2. 判断根节点是否有值
if (this.root == null) {
this.root = newNode
} else {
this.insertNode(this.root, newNode)
}
}
BinarySearchTree.prototype.insertNode = function (node, newNode) {
if (newNode.key < node.key) { //向左查找
if (node.left == null) {
node.left = newNode
} else {
this.insertNode(node.left, newNode)
}
} else { //向右查找
if (node.right == null) {
node.right = newNode
} else {
this.insertNode(node.right, newNode)
}
}
}
// 树的遍历
// 1. 先序遍历
BinarySearchTree.prototype.preOrderTraversal = function (handler) {
this.preOrderTraversalNode(this.root, handler)
}
BinarySearchTree.prototype.preOrderTraversalNode = function (node, handler) {
if (node != null) {
// 1. 处理经过的节点
handler(node.key)
// 2. 查找经过节点的左子节点
this.preOrderTraversalNode(node.left, handler)
// 3. 查找经过节点的右子节点
this.preOrderTraversalNode(node.right, handler)
}
}
// 2. 中序遍历
BinarySearchTree.prototype.midOrderTraversal = function (handler) {
this.midOrderTraversalNode(this.root, handler)
}
BinarySearchTree.prototype.midOrderTraversalNode = function (node, handler) {
if (node != null) {
// 查找我们的左子树的节点
this.midOrderTraversalNode(node.left, handler)
// 2. 处理节点
handler(node.key)
// 3.查找右子树的节点
this.midOrderTraversalNode(node.right, handler)
}
}
// 3. 后序遍历
BinarySearchTree.prototype.postOrderTraversal = function (handler) {
this.postOrderTraversalNode(this.root, handler)
}
BinarySearchTree.prototype.postOrderTraversalNode = function (node, handler) {
if (node != null) {
// 1. 查找左子树中的节点
this.postOrderTraversalNode(node.left, handler)
// 2.查找右子树中的节点
this.postOrderTraversalNode(node.right, handler)
// 3.处理节点
handler(node.key)
}
}
// 寻找最值
// 1. 寻找最大值
BinarySearchTree.prototype.max = function () {
// 1. 获取根节点
var node = this.root
// 2. 依次向右不断的查找,直到节点为null
var key = null
while (node != null) {
key = node.key
node = node.right
}
return key
}
// 2. 寻找最小值
BinarySearchTree.prototype.min = function () {
// 1. 获取根节点
var node = this.root
// 2. 依次向左不断查找,直到节点为Null
var key = null
while (node !== null) {
key = node.key
node = node.left
}
return key
}
// 搜索某一个key
BinarySearchTree.prototype.search = function (key) {
// 1. 获取根节点
var node = this.root
// 2. 循环搜索key
while (node != null) {
if (key < node.key) {
node = node.left
} else if (key > node.key) {
node = node.right
} else {
return true
}
}
return false
}
// 删除节点
BinarySearchTree.prototype.remove = function (key) {
// 1. 寻找要删除的节点
// 1.1. 定义变量,保存一些信息
var current = this.root
var parent = null
var isLeftChild = true
// 1.2. 开始寻找删除的节点
while (current.key != key) {
parent = current
if (key < current.key) {
isLeftChild = true
current = current.left
} else {
isLeftChild = false
current = current.right
}
// 某种情况:已经找到了最后的节点,依然没有找到==key
if (current == null) {
return false
}
}
// 2. 根据对应的情况删除节点
// 2.1. 删除的节点时叶子节点
if (current.left == null && current.right == null) {
// 删除的节点时根节点,而且根节点是叶子节点
if (current == this.root) {
this.root = null
} else if (isLeftChild) {
parent.left = null
} else {
parent.right = null
}
}
// 2.2. 删除的节点有一个子节点
else if (current.right = null) {
if (current == this.root) {
this.root = current.left
} else if (isLeftChild) {
parent.left = current.left
} else {
parent.right = current.left
}
} else if (current.left == null) {
if (current == this.root) {
this.root = current.right
} else if (isLeftChild) {
parent.left = current.right
} else {
parent.right = current.right
}
}
// 删除节点有两个子节点的情况待补充
else {
// 1. 获取后继节点
var successor = this.getSuccessor(current)
// 2. 判断是否是根节点
if (current == this.root) {
this.root = successor
} else if (isLeftChild) {
parent.left = successor
} else {
parent.right = successor
}
// 3. 将删除节点的左子树=current.left
successor.left = current.left
}
}
BinarySearchTree.prototype.getSuccessor = function (delNode) {
// 1. 定义变量,保存找到的后继
var successor = delNode
var current = delNode.right
var successorParent = delNode
// 2. 循环查找
while (current != null) {
successorParent = successor
successor = current
current = current.left
}
// 3. 判断寻找的后继节点是否直接就是delNode的right节点
if (successor != delNode.right) {
successorParent.left = successor.right
successor.right = delNode.right
}
return successor
}
}
1.5. 儿子-兄弟表示法旋转
其实所有的树本质上都可以用二叉树模拟出来
