[路飞]leetcode-206. 反转链表

89 阅读1分钟

题目描述

编写一个算法来判断一个数 n 是不是快乐数。

「快乐数」定义为:

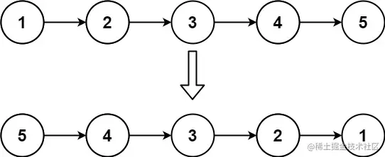
给你单链表的头节点 head ,请你反转链表,并返回反转后的链表。 力扣原文链接

示例

输入: head = [1,2,3,4,5]
输出: [5,4,3,2,1]

代码就不多解释了多看两遍就懂了,实在是文字不好解释,画图太麻烦 -_-

var reverseList_pre_cur = function (head) {
  if (!head || !head.next) {
    return head;
  }
  let pre = null,
    cur = head,
    next = head.next;
  while (cur) {
    cur.next = pre;
    pre = cur;
    (cur = next) && (next = next.next);
  }
  return pre;
};