【路飞】算法与数据结构-二叉搜索树中第K小的元素

89 阅读1分钟

不管全世界所有人怎么说,我都认为自己的感受才是正确的。无论别人怎么看,我绝不打乱自己的节奏。喜欢的事自然可以坚持,不喜欢的怎么也长久不了。

LeetCode:原题地址

题目要求

给定一个二叉搜索树的根节点 root ,和一个整数 k ,请你设计一个算法查找其中第 k ****个最小元素(从 1 开始计数)。

示例 1:

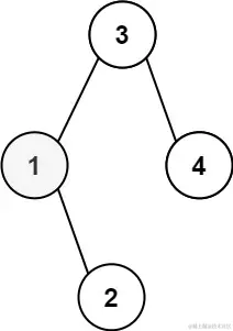
kthtree1.jpg

输入: root = [3,1,4,null,2], k = 1
输出: 1

示例 2:

kthtree2.jpg

输入: root = [5,3,6,2,4,null,null,1], k = 3
输出: 3

思路

因为是二叉搜索树,所以满足左子树小于当前节点小于右子树。我们需要先优先在左子树搜,看看有没有k个节点,在看当前节点,最后看右子树。这其实就是中序遍历,找第k个即可。

代码

/**
 * @param {TreeNode} root
 * @param {number} k
 * @return {number}
 */
var kthSmallest = function(root, k) {
    let ans;
    const inOrderTraverse = function(node) {
        if(node!=null && k>0) {
            inOrderTraverse(node.left);
            if(--k==0)
                ans = node.val;
            inOrderTraverse(node.right);
        }
    }
    inOrderTraverse(root);
    return ans;
};