leetcode_1227 飞机座位分配概率

317 阅读3分钟

要求

有 n 位乘客即将登机,飞机正好有 n 个座位。第一位乘客的票丢了,他随便选了一个座位坐下。

剩下的乘客将会:

如果他们自己的座位还空着,就坐到自己的座位上,

当他们自己的座位被占用时,随机选择其他座位 第 n 位乘客坐在自己的座位上的概率是多少?

示例 1:

输入:n = 1
输出:1.00000
解释:第一个人只会坐在自己的位置上。

示例 2:

输入: n = 2
输出: 0.50000
解释:在第一个人选好座位坐下后,第二个人坐在自己的座位上的概率是 0.5。

提示:

  • 1 <= n <= 10^5

核心代码

class Solution:
    def nthPersonGetsNthSeat(self, n: int) -> float:
        return 0.5 if n > 1 else 1

image.png

解题思路: 严谨推导:

首先题目并没有说第一个乘客座位号就是 1 啊?也没说最后一个乘客座位号就是 n 啊?所以大家的假设是怎么来的?这一点没有说清。其实很简单,不管每个乘客编号是多少,我们不用管,我们只要看他入场的次序就行了,所以我们就按照入场次序给他们重新编个号,这样的话就是按照 1 到 n 的编号入场了(也就是这里的编号代表的是入场的次序,而不是实际的座位号)。

然后就是 1 号进场了,可以分为下面几种情况:

  • 他有 1n\frac{1}{n} 的概率选择坐在 1 号座位上。这样 2 到 n 号位置都不会被占,那么 n 号坐在自己座位的概率就是 1.0 。
  • 他有1n\frac{1}{n} 的概率选择坐在 n 号座位上。这样 2 到 n-1 号位置都不会被占,而 n 号只能坐在 1 号座位上,那么概率就是 0.0 。
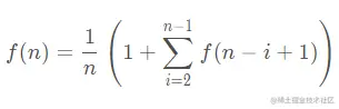
  • 他有 1n\frac{1}{n} 的概率选择坐在 i 号座位上,其中 2 ≤ i ≤ n − 1。这样 2 到 i−1 号位置都不会被占,他们都坐在自己的的位置上。而 i 号乘客就犯难了,他的座位被 1 号占了,他不知道坐哪了。这时候,如果他选择坐 1 号座位,那么 i+1 到 n 号乘客还是坐在自己位置,相安无事。而如果他选择坐在i+1 到 n 号中的某个位置,那么必然又会产生新的冲突,这样就不好求解了啊! 对于第三种情况,我们可以换个角度看问题。现在面临的问题是,i 号选择坐在哪?这时候还没入场的有 i 到 n 号乘客,而座位还剩 1 和 i+1 到 n 号。那既然 i 号乘客坐在 1 号座位的话,后面的人都能坐回原位,那我们就把 1 号座位当作是 i 号乘客原本的座位就行了嘛,反正我最后又不要求 i 号乘客坐回原位的概率,你坐哪都没事,只要别影响到其他人就行了。那么问题的规模就被缩小到了 n−i+1 ,我们递归求解就行了。
    令 f(n)表示 n 个人的情况下,最后一个人坐回原位的概率,按照上面的分析,我们可以列出递推式:

image.png

这个递推式想必大家高中就会求了,令 n = n − 1 再写出一项:

image.png

然后两式相减得到:

image.png

即:

image.png

那么我们就可以得到最终的答案了,对任意的 n ≥ 2 都有

image.png

还有一个特例就是f(1) = 1.0 ,这样这题就证好了。

推导中的难点解析:

image.png