[路飞][LeetCode]144_二叉树的前序遍历

97 阅读1分钟

看一百遍美女,美女也不一定是你的。但你刷一百遍算法,知识就是你的了~~

谁能九层台,不用累土起!

题目地址

题目

给你二叉树的根节点 root ,返回它节点值的 前序 **遍历。

示例 1:

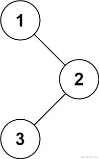
image.png

输入: root = [1,null,2,3]
输出: [1,2,3]

示例 2:

输入: root = []
输出: []

示例 3:

输入: root = [1]
输出: [1]

示例 4:

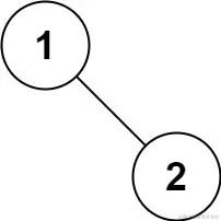
image.png

输入: root = [1,2]
输出: [1,2]

示例 5:

image.png

输入: root = [1,null,2]
输出: [1,2]

提示:

  • 树中节点数目在范围 [0, 100] 内
  • -100 <= Node.val <= 100

解题思路

  • 前序遍历 根 -> 左 -> 右
  • 处理好边界

解题代码

var preorderTraversal = function(root) {
    let arr =[]
    function fomap(n){
        if(!n) return
        arr.push(n.val)
        if(n.left) fomap(n.left)
        if(n.right)fomap(n.right)
    }
    fomap(root)
    return arr
};

如有任何问题或建议,欢迎留言讨论!