[路飞]_算法_二叉树_平衡二叉树 ——至顶向下递归

140 阅读2分钟

题目描述

给定一个二叉树,判断它是否是高度平衡的二叉树。

本题中,一棵高度平衡二叉树定义为:

一个二叉树每个节点 的左右两个子树的高度差的绝对值不超过 1 。

 

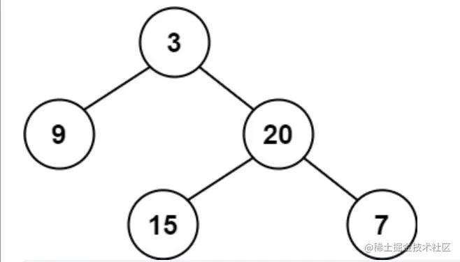
示例 1:

image.png

输入:root = [3,9,20,null,null,15,7]
输出:true

示例 2:

image.png 输入:root = [1,2,2,3,3,null,null,4,4]
输出:false

示例 3: 输入:root = []
输出:true   ** 提示:**

  • 树中的节点数在范围 [0, 5000] 内
  • -104 <= Node.val <= 104

来源:力扣(LeetCode) 链接:leetcode-cn.com/problems/ba… 著作权归领扣网络所有。商业转载请联系官方授权,非商业转载请注明出处。

解题思路

根据题目定义,平衡二叉树就是左右子树高度差小于等于1。
并且一个树是平衡二叉树则所有子树都是平衡二叉树。

自顶向下的递归
  • 综上所述,递归判断每个节点的左右子树都是平衡二叉树,则整课树是平衡二叉树。
  • 定义函数height,用于计算二叉树中的任意一个节点 p 的高度:
    p是空节点:高度0
    p是非空节点:高度=Math.max(height(p.left),height(p.right))+1
  • 遍历节点,判断其左右子树高度,即可判断是否是平衡二叉树
    左右子树高度差不超过1,
    再遍历左右子节点,计算他们的左右子树,判断是否平衡二叉树。 这是自顶向下的遍历

代码

/**
 *
 * Definition for a binary tree node.
 * function TreeNode(val, left, right) {
 *     this.val = (val===undefined ? 0 : val)
 *     this.left = (left===undefined ? null : left)
 *     this.right = (right===undefined ? null : right)
 * }
 */
/**
 * @param {TreeNode} root
 * @return {boolean}
 */
var isBalanced = function(root) {
     if(!root){
        return true;//为空直接返回true
     }else{
         //不为空则计算树的高度,高度差的绝对值小于等于1则是平衡二叉树
         //并且左右子树都要是平衡二叉树才行
         return Math.abs(height(root.left)-height(root.right))<=1 && isBalanced(root.left)&& isBalanced(root.right)
     }

};
/**计算一棵树的高度,左右子树高度取大值
 */
var height=function(root){
    if(!root){
        return 0;
    }else{
        return Math.max(height(root.left),height(root.right))+1;
    }
}