leetcode_708 循环有序列表的插入

210 阅读2分钟

要求

给定循环单调非递减列表中的一个点,写一个函数向这个列表中插入一个新元素 insertVal ,使这个列表仍然是循环非降序的。

给定的可以是这个列表中任意一个顶点的指针,并不一定是这个列表中最小元素的指针。

如果有多个满足条件的插入位置,你可以选择任意一个位置插入新的值,插入后整个列表仍然保持有序。

如果列表为空(给定的节点是 null),你需要创建一个循环有序列表并返回这个节点。否则。请返回原先给定的节点。

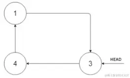
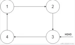
示例 1: image.png

输入:head = [3,4,1], insertVal = 2
输出:[3,4,1,2]
解释:在上图中,有一个包含三个元素的循环有序列表,你获得值为 3 的节点的指针,我们需要向表中插入元素 2 。新插入的节点应该在 1 和 3 之间,插入之后,整个列表如上图所示,最后返回节点 3 。

image.png

示例 2:

输入:head = [], insertVal = 1
输出:[1]
解释:列表为空(给定的节点是 null),创建一个循环有序列表并返回这个节点。

示例 3:

输入:head = [1], insertVal = 0
输出:[1,0]

提示:

  • 0 <= Number of Nodes <= 5 * 104
  • -106 <= Node.val, insertVal <= 106

核心代码

"""
# Definition for a Node.
class Node:
    def __init__(self, val=None, next=None):
        self.val = val
        self.next = next
"""

class Solution:
    def insert(self, head: 'Node', insertVal: int) -> 'Node':
        if not head:
            node = Node(insertVal)
            node.next = node
            return node
        
        node = head
        already = False

        while True:
            # 处理只有一个元素的链表的情况
            if node == node.next:
                new = Node(insertVal,node.next)
                node.next = new
                break
            # 处理在链表中的情况
            elif node.val <= node.next.val:
                if node.val <= insertVal < node.next.val:
                    new = Node(insertVal,node.next)
                    node.next = new
                    break
                else:
                    node = node.next

            # 处理到达链表末尾的情况
            else:
                if already:
                    new = Node(insertVal,node.next)
                    node.next = new
                    break
                else:
                    node = node.next
            if node == head:
                if not already:
                    already = True
                else:
                    new = Node(insertVal,node.next)
                    node.next = new
                    break
        return head

image.png

解题思路:其实插入的时候分为以下几种情况,没有节点,我们直接插入,存在一个节点,我们需要循环,还要处理在链表中和在链表末尾的情况,就是需要注意的情况比较多,相对比较简单。