[路飞]_前端算法第七十六弹-二叉树的右视图

87 阅读1分钟

给定一个二叉树的 根节点 root,想象自己站在它的右侧,按照从顶部到底部的顺序,返回从右侧所能看到的节点值。

示例 1:

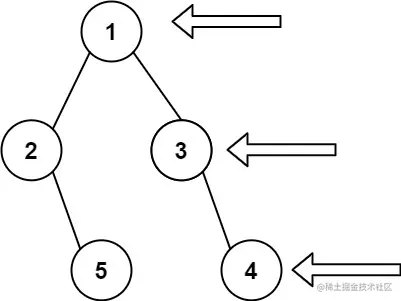
输入: [1,2,3,null,5,null,4]
输出: [1,3,4]

示例 2:

输入: [1,null,3]
输出: [1,3]

示例 3:

输入: []
输出: []

这道题表示我们只能看到二叉树的最右侧的数据,如果右子树一直存在则只看右子树,如果右子树不存在则向左查找。那么我们思考前序遍历是先查到根节点,然后是左节点,最后是右节点,那么我们把每层只存一个数据的话,根据前序遍历,我们一直替换每一层的结点的值,这样遍历结束时,我们得到的便只是最右侧结点的值。

/**
 * @param {TreeNode} root
 * @return {number[]}
 */
var rightSideView = function (root) {
    let res = []
    let depth = 0;
    dfs(root, depth, res)
    return res
    function dfs(root, depth, res) {
        if (!root) return null;
        res[depth] = root.val
        dfs(root.left, depth + 1, res)
        dfs(root.right, depth + 1, res)
    }
};