[路飞]_前端算法第七十五弹-二叉搜索树中第K小的元素

87 阅读1分钟

给定一个二叉搜索树的根节点 root ,和一个整数 k ,请你设计一个算法查找其中第 k ****个最小元素(从 1 开始计数)。

示例 1:

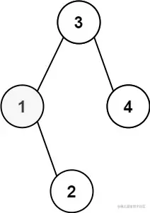
输入:root = [3,1,4,null,2], k = 1
输出:1

示例 2:

输入:root = [5,3,6,2,4,null,null,1], k = 3
输出:3

根据二叉搜索树的性质,对其中序遍历的话,会得到一个排序数组,找到其第k小的元素,只需找到排序数组中的第k个元素即可

var kthSmallest = function (root, k) {
    let res = [];
    dfs(root)
    function dfs(root) {
        if (!root) return null
        dfs(root.left)
        res.push(root.val)
        dfs(root.right)
    }
    return res[k - 1]
};