完全二叉树的节点个数(三步优化)

188 阅读3分钟

题目描述

给你一棵 完全二叉树 的根节点 root ,求出该树的节点个数。

完全二叉树 的定义如下:在完全二叉树中,除了最底层节点可能没填满外,其余每层节点数都达到最大值,并且最下面一层的节点都集中在该层最左边的若干位置。若最底层为第 h 层,则该层包含 1~ 2h 个节点。

 

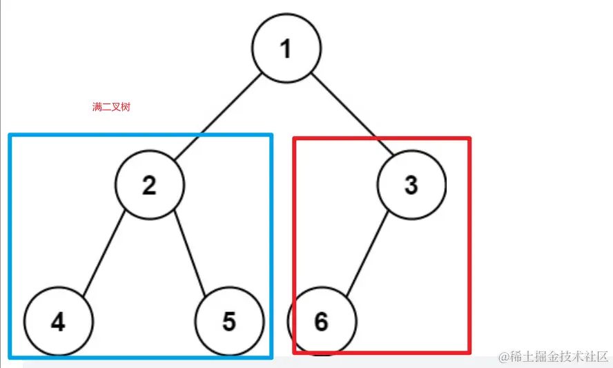
示例 1:

image.png
输入:root = [1,2,3,4,5,6]
输出:6

示例 2:
输入:root = [] 输出:0

示例 3:
输入:root = [1] 输出:1  

提示:

树中节点的数目范围是[0, 5 * 104] 0 <= Node.val <= 5 * 104 题目数据保证输入的树是 完全二叉树

来源:力扣(LeetCode) 链接:leetcode-cn.com/problems/co… 著作权归领扣网络所有。商业转载请联系官方授权,非商业转载请注明出处。

解题思路

首先,如果是一颗普通二叉树,我们计算节点数量,递归遍历所有节点统计数量即可

初版代码如下:(粗暴版)
  • 定义一个result变量用于统计节点数
  • 定义一个count方法,用于递归所有节点,每次进入result+1,有子节点就继续递归
/**
 * Definition for a binary tree node.
 * function TreeNode(val, left, right) {
 *     this.val = (val===undefined ? 0 : val)
 *     this.left = (left===undefined ? null : left)
 *     this.right = (right===undefined ? null : right)
 * }
 */

/**
 * @param {TreeNode} root
 * @return {number}
 */
var countNodes = function(root) {
     let result=0;
    if(!root) return 0;
    result+=1;
    if(root.left||root.right){
        check(root.left);
        check(root.right);
      
    }
    function count(node){
         if(!node) return;
           result+=1;
       if(node.left||node.right){
        count(node.left);
        count(node.right);
      
       }
    }
     return result;

};
优化下写法:

整理下思路,其实某个节点为根节点的树的节点树,就等于左子树节点数+右子树节点数+1(自己)
按以上方法来递归自身,能极大简化写法

/**
 * Definition for a binary tree node.
 * function TreeNode(val, left, right) {
 *     this.val = (val===undefined ? 0 : val)
 *     this.left = (left===undefined ? null : left)
 *     this.right = (right===undefined ? null : right)
 * }
 */

/**
 * @param {TreeNode} root
 * @return {number}
 */
var countNodes = function(root) {

    if(!root) return 0;
     return 1+countNodes(root.left)+countNodes(root.right);

};
继续优化时间复杂度

以上是当作普通二叉树来暴力处理的,无差别遍历了所有节点 但是,本题干是“完全二叉树”,既树的左边有可能出现满二叉树,或者左边右边都是满二叉树

  • 如果遇到子树是满二叉树的情况,例如下图的左子树
  • 则该子树节点数可直接通过2^h - 1计算,h是深度
  • 右子树则按正常普通二叉树遍历
  • 完全二叉树判断是满二叉树的方法为,每次迭代统计左右子树深度,相等则是满二叉树

image.png 代码如下:

/**
 * Definition for a binary tree node.
 * function TreeNode(val, left, right) {
 *     this.val = (val===undefined ? 0 : val)
 *     this.left = (left===undefined ? null : left)
 *     this.right = (right===undefined ? null : right)
 * }
 */

/**
 * @param {TreeNode} root
 * @return {number}
 */
var countNodes = function(root) {
    //空节点直接计数0
    if(root===null){
        return 0;
    }
    let leftNode=root.left;
    let rightNode=root.right;
    let leftH=0;//左右子树高度
    let rightHt=0;
    while(leftNode){
        //迭代计算左右子树深度
        leftNode=leftNode.left;
        leftH++;
    }
    while(rightNode){
        rightNode=rightNode.rightHt;
        rightHt++;
    }
    if(leftH==rightHt){
        //如果深度相等,就是满二叉树
        return Math.pow(2,leftH+1)-1;
    }
    //不相等就是普通二叉树继续递归
    return countNodes(root.left)+countNodes(root.right)+1;
};

结论:

果然性能有了很大提升

image.png

代码(最优)

/**

  • Definition for a binary tree node.
  • function TreeNode(val, left, right) {
  • this.val = (val===undefined ? 0 : val)
    
  • this.left = (left===undefined ? null : left)
    
  • this.right = (right===undefined ? null : right)
    
  • } */

/**

  • @param {TreeNode} root
  • @return {number} */ var countNodes = function(root) { //空节点直接计数0 if(root===null){ return 0; } let leftNode=root.left; let rightNode=root.right; let leftH=0;//左右子树高度 let rightHt=0; while(leftNode){ //迭代计算左右子树深度 leftNode=leftNode.left; leftH++; } while(rightNode){ rightNode=rightNode.rightHt; rightHt++; } if(leftH==rightHt){ //如果深度相等,就是满二叉树 return Math.pow(2,leftH+1)-1; } //不相等就是普通二叉树继续递归 return countNodes(root.left)+countNodes(root.right)+1; };