[路飞]_算法_二叉树_路径总和

146 阅读2分钟

题目描述

给你二叉树的根节点 root 和一个表示目标和的整数 targetSum 。判断该树中是否存在 根节点到叶子节点 的路径,这条路径上所有节点值相加等于目标和 targetSum 。如果存在,返回 true ;否则,返回 false 。

叶子节点 是指没有子节点的节点。

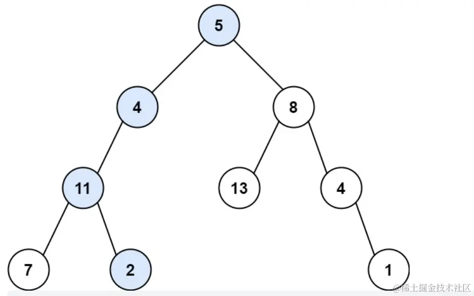
示例 1:

image.png

输入:root = [5,4,8,11,null,13,4,7,2,null,null,null,1], targetSum = 22
输出:true
解释:等于目标和的根节点到叶节点路径如上图所示。
示例 2:
输入:root = [1,2,3], targetSum = 5
输出:false
解释:树中存在两条根节点到叶子节点的路径:
(1 --> 2): 和为 3
(1 --> 3): 和为 4
不存在 sum = 5 的根节点到叶子节点的路径。
示例 3:
输入:root = [], targetSum = 0
输出:false
解释:由于树是空的,所以不存在根节点到叶子节点的路径。

 

提示:
  • 树中节点的数目在范围 [0, 5000] 内
  • -1000 <= Node.val <= 1000
  • -1000 <= targetSum <= 1000

来源:力扣(LeetCode) 链接:leetcode-cn.com/problems/pa… 著作权归领扣网络所有。商业转载请联系官方授权,非商业转载请注明出处。

解题思路

递归找到所有根节点到叶子节点的路径,并判断是否符合条件。

  • 递归到所有叶子节点,在递归过程中用用targetSum减去当前节点val,并把该值作为下层递归的targetSum,一直减到根节点。
  • 如果到达根节点时,targetSum的值刚好等于当前节点的value则返回true

代码

/**
 * Definition for a binary tree node.
 * function TreeNode(val, left, right) {
 *     this.val = (val===undefined ? 0 : val)
 *     this.left = (left===undefined ? null : left)
 *     this.right = (right===undefined ? null : right)
 * }
 */
/**
 * @param {TreeNode} root
 * @param {number} targetSum
 * @return {boolean}
 */
var hasPathSum = function(root, targetSum) {
    if(root===null) return false;
    if(!root.left&&!root.right){
        //没有左右节点,则代表是叶子节点
        return root.val===targetSum;
    }
    //左子树或者右子树有一个满足就行
    return hasPathSum(root.left,targetSum-root.val)||hasPathSum(root.right,targetSum-root.val)

};