[路飞]Leetcode101.对称二叉树

111 阅读1分钟

题目 地址

给定一个二叉树,检查它是否是镜像对称的。 例如,二叉树 [1,2,2,3,4,4,3] 是对称的。

    1
   / \
  2   2
 / \ / \
3  4 4  3

但是下面这个 [1,2,2,null,3,null,3] 则不是镜像对称的:

    1
   / \
  2   2
   \   \
   3    3

方法1 - 反转right后和left 比较

// isSameTree 是 第Leetcode.100 题
/**
* 反转right
*/
function transform(node) {
  if (node === null) return null

  const tmp = node.left
  node.left = transform(node.right)
  node.right = transform(tmp)
  return node
}

function isSymmetric(root) {
  if (root === null) return true

  const transformRight = transform(root.right)

  return isSameTree(root.left, transformRight)
}

方法2 - 递归

// 先定义一个比较的方法
// 更节点不用判断 左右情况先找出false情况 直接return 当都是null 也是true 其他情况去比较两个节点的左右相对对比
function compare(left, right) {
  if (
    (left && !right) ||
    (!left && right) ||
    (left && right && left.val !== right.val)
  )
    return false

  if (!left && !right) return true

  return compare(left.left, right.right) && compare(left.right, right.left)
}

function isSymmetric(root) {
  if (root === null) return true

  return compare(root.left, root.right)
}

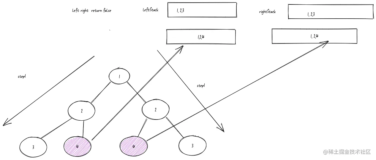
方法3-迭代

配个图

image.png

// 1. 先做遍历到左 右遍历到右, 然后再left.right right.left 遍历
function isSymmetric(root) {
  // 先空
  if (root === null) return true

  let left = root.left
  let right = root.right

  // 找两个栈存起来左右
  const leftStack = []
  const rightStack = []

  // 这里循环值需要leftStack 因为leftStack 和 rightStack push pop是同步的
  while ((left && right) || leftStack.length) {
    while (left && right) {
      if (left.val !== right.val) return false // 不相等时直接return false
      leftStack.push(left.left)
      rightStack.push(right.right)
      left = left.left
      right = right.right
    }

    // 这里判断下 left right 有一部位空的情况
    if ((left && !right) || (!left && right)) return false

    const leftNode = leftStack.pop()
    const rightNode = rightStack.pop()
    left = leftNode.right
    right = leftNode.left
  }

  // 当left和right都是空时才能是true
  return !left && !right
}