[路飞][LeetCode]112_路径总和

125 阅读2分钟

看一百遍美女,美女也不一定是你的。但你刷一百遍算法,知识就是你的了~~

谁能九层台,不用累土起!

题目地址

题目

给你二叉树的根节点 root 和一个表示目标和的整数 targetSum 。判断该树中是否存在 根节点到叶子节点 的路径,这条路径上所有节点值相加等于目标和 targetSum 。如果存在,返回 true ;否则,返回 false 。

叶子节点 是指没有子节点的节点。

示例 1:

image.png

输入:root = [5,4,8,11,null,13,4,7,2,null,null,null,1], targetSum = 22
输出:true
解释:等于目标和的根节点到叶节点路径如上图所示。

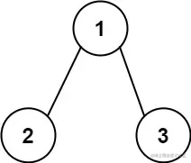
示例 2:

image.png

输入:root = [1,2,3], targetSum = 5
输出:false
解释:树中存在两条根节点到叶子节点的路径:
(1 --> 2): 和为 3
(1 --> 3): 和为 4
不存在 sum = 5 的根节点到叶子节点的路径。

示例 3:

输入: root = [], targetSum = 0
输出: false
解释: 由于树是空的,所以不存在根节点到叶子节点的路径。

提示:

  • 树中节点的数目在范围 [0, 5000] 内
  • -1000 <= Node.val <= 1000
  • -1000 <= targetSum <= 1000

解题思路

  • 我们使用递归
  • 如果当前节点存在leftright子节点,则将targetSum减去当前节点的值,并将结果带入下一次递归
  • 如果当前节点是否为尾结点 是的话判断是否满足当前的targetSum等于当前根节点的val,是的话则存在,否则不存在

解题代码

var hasPathSum = function(root, targetSum) {
  if(!root)  return false
  if(!root.left&&!root.right) return  root.val ==targetSum
  return hasPathSum(root.left,targetSum-root.val) || hasPathSum(root.right,targetSum-root.val)
};

不用期待命运在某个瞬间被突然扭转,那些改变我们人生的能量,都在普普通通的每一天里积累。

如有任何问题或建议,欢迎留言讨论!