[路飞][LeetCode]面试题02.04.分割链表

103 阅读1分钟

看一百遍美女,美女也不一定是你的。但你刷一百遍算法,知识就是你的了~~

谁能九层台,不用累土起!

题目

题目

给你一个链表的头节点 head 和一个特定值 **x ,请你对链表进行分隔,使得所有 小于 x 的节点都出现在 大于或等于 x 的节点之前。

你不需要 保留 每个分区中各节点的初始相对位置。

示例 1:

image.png

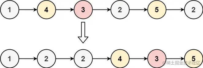
输入: head = [1,4,3,2,5,2], x = 3
输出:[1,2,2,4,3,5]

示例 2:

输入: head = [2,1], x = 2
输出:[1,2]

提示:

  • 链表中节点的数目在范围 [0, 200] 内
  • -100 <= Node.val <= 100
  • -200 <= x <= 200

解题思路

  • 我们创建两个链表,一个用来存放小于x的节点,一个用来存储>=x的节点
  • 遍历head,将对应的节点存入对应的链表
  • 将小数链表的尾结点指向大数链表的头结点完成拼接
  • 拼接后的链表就是我们题目要的链表

解题代码

var partition = function(head, x) {
  let smallList = new ListNode()
  let bigList = new ListNode()
  let small = smallList
  let big = bigList
  while(head){
    let node = new ListNode(head.val)
    if(head.val<x){
      small.next = node
      small = small.next
    }else{
      big.next = node
      big = big.next
    }
    head =head.next
  }
  small.next = bigList.next
  return smallList.next
};

如有任何问题或建议,欢迎留言讨论!