[路飞]_leetcode 971. 翻转二叉树以匹配先序遍历

298 阅读1分钟

题目来源:leetcode 971. 翻转二叉树以匹配先序遍历

给你一棵二叉树的根节点 root ,树中有 n 个节点,每个节点都有一个不同于其他节点且处于 1 到 n 之间的值。

另给你一个由 n 个值组成的行程序列 voyage ,表示 预期 的二叉树 先序遍历 结果。

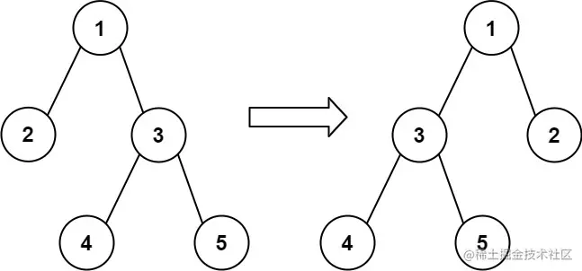
通过交换节点的左右子树,可以 翻转 该二叉树中的任意节点。例,翻转节点 1 的效果如下:

image.png

请翻转 最少 的树中节点,使二叉树的 先序遍历 与预期的遍历行程 voyage 相匹配 。 

如果可以,则返回 翻转的 所有节点的值的列表。你可以按任何顺序返回答案。如果不能,则返回列表 [-1]。

 

示例 1:

image.png

输入:root = [1,2], voyage = [2,1] 输出:[-1] 解释:翻转节点无法令先序遍历匹配预期行程。

示例 2:

image.png

输入:root = [1,2,3], voyage = [1,3,2] 输出:[1] 解释:交换节点 2 和 3 来翻转节点 1 ,先序遍历可以匹配预期行程。

示例 3:

image.png

输入:root = [1,2,3], voyage = [1,2,3] 输出:[] 解释:先序遍历已经匹配预期行程,所以不需要翻转节点。  

提示:

树中的节点数目为 n n == voyage.length 1 <= n <= 100 1 <= Node.val, voyage[i] <= n 树中的所有值 互不相同 voyage 中的所有值 互不相同

代码实现

/**
 * Definition for a binary tree node.
 * function TreeNode(val, left, right) {
 *     this.val = (val===undefined ? 0 : val)
 *     this.left = (left===undefined ? null : left)
 *     this.right = (right===undefined ? null : right)
 * }
 */
/**
 * @param {TreeNode} root
 * @param {number[]} voyage
 * @return {number[]}
 */
var flipMatchVoyage = function(root, voyage) {
  let ans = [];
  let cur = 0;
  let traversal = function(root) {
    if (root.val === voyage[cur]) {
      cur++;
      if (root.left && root.left.val === voyage[cur]) {
        traversal(root.left);
      }
      if (root.right && root.right.val === voyage[cur]) {
        traversal(root.right);
        if (root.left && root.left.val === voyage[cur] && root.left) {
          ans.push(root.val);
          traversal(root.left);
        }
      }
    }
  }
  traversal(root);
  if (cur !== voyage.length) {
    return [-1];
  }
  return ans;
};