[路飞]_leetcode-199-二叉树的右视图

376 阅读1分钟

[题目地址] [B站地址]

给定一个二叉树的 根节点 root,想象自己站在它的右侧,按照从顶部到底部的顺序,返回从右侧所能看到的节点值。

示例 1:

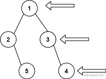
输入: [1,2,3,null,5,null,4]
输出: [1,3,4]

示例 2:

输入: [1,null,3]
输出: [1,3]

示例 3:

输入: []
输出: []

提示:

  • 二叉树的节点个数的范围是 [0,100]
  • -100 <= Node.val <= 100

解题思路

本题要获取的右视图,其实就是每一层最右侧节点的值,
所以我们需要进行层序遍历,并获取到每一层最右侧的节点的值。
这里我们可以采用前序遍历或者中序遍历,只要保证右子树是最后遍历到的即可,
遍历过程中记录当前节点的深度,并将当前节点值赋值给结果数组对应下标元素。
因为是最后处理的右子树,所以最后数组中对应下标位置的值就是当前层最右侧节点的值。

代码实现

var rightSideView = function(root) {
  // 初始化结果数组
  const res = [];
  // 前序遍历,并记录当前节点的深度
  function preorder(node,deep){
    if(node === null) return;
    // 更新对应下标值为当前节点的值
    res[deep] = node.val;
    // 递归处理左子树
    preorder(node.left,deep+1);
    // 递归处理右子树
    preorder(node.right,deep+1);
  }
  preorder(root,0);
  // 返回结果数组
  return res;
};

至此我们就完成了 leetcode-199-二叉树的右视图

如有任何问题或建议,欢迎留言讨论!