[路飞]_leetcode-230-二叉搜索树中第K小的元素

971 阅读1分钟

[题目地址] [B站地址]

给定一个二叉搜索树的根节点 root ,和一个整数 k ,请你设计一个算法查找其中第 k 个最小元素(从 1 开始计数)。

示例 1:

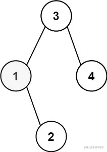
输入: root = [3,1,4,null,2], k = 1
输出: 1

示例 2:

输入: root = [5,3,6,2,4,null,null,1], k = 3
输出: 3

提示:

  • 树中的节点数为 n 。
  • 1 <= k <= n <= 104
  • 0 <= Node.val <= 104

进阶: 如果二叉搜索树经常被修改(插入/删除操作)并且你需要频繁地查找第 k 小的值,你将如何优化算法?

解题思路

二叉搜索树的性质:
对于任意一棵子树,根节点的值大于左子节点的值,根节点的值小于右子节点的值

基于以上二叉搜索树的性质,如果对二叉搜索树进行中序遍历的话,将会得到一个严格升序的序列,
获取这个序列中的第 k 个元素,就是二叉搜索树中第 k 个最小元素。

代码实现

var kthSmallest = function(root, k) {
  // 记录当前遍历的节点数量
  let num = 0,res;
  // 中序遍历
  function inorder(node){
    if(node === null) return;
    inorder(node.left);
    num++;
    // 如果当前节点是第K个节点,则就是要找的第k个最小元素
    if(num===k){
      // 记录节点值
      res = node.val
      // 退出递归
      return;
    }
    inorder(node.right);
  }
  inorder(root);
  // 返回结果
  return res;
};

至此我们就完成了 leetcode-230-二叉搜索树中第K小的元素

如有任何问题或建议,欢迎留言讨论!