[前端]_一起刷leetcode 199. 二叉树的右视图

135 阅读2分钟

大家好,我是挨打的阿木木,爱好算法的前端摸鱼老。最近会频繁给大家分享我刷算法题过程中的思路和心得。如果你也是想提高逼格的摸鱼老,欢迎关注我,一起学习。

题目

199. 二叉树的右视图

给定一个二叉树的 根节点 root,想象自己站在它的右侧,按照从顶部到底部的顺序,返回从右侧所能看到的节点值。

 

示例 1:

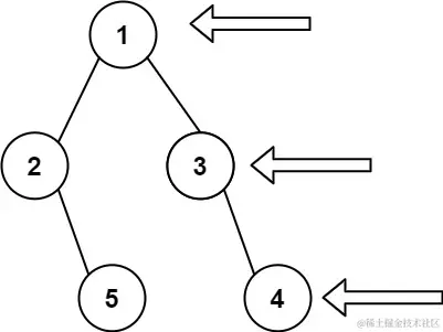
输入: [1,2,3,null,5,null,4]
输出: [1,3,4]

示例 2:

输入: [1,null,3]
输出: [1,3]

示例 3:

输入: []
输出: []

 

提示:

  • 二叉树的节点个数的范围是 [0,100]
  • -100 <= Node.val <= 100

思路

首先这道题目很容易陷入一个思维误区,就是直接拿右节点,有右节点就拿右节点,没有右节点就拿左节点。为什么说是误区呢? 因为这个时候你会发现如果左节点的深度比右节点深,那你拿到最后面你发现右节点没有子节点了,左节点还有,你怎么回过头去找呢?所以这道题目必然得遍历一次全部节点才能找到我们要的答案

实现

BFS + 迭代

二叉树的广度优先搜索,也就是一层一层遍历,然后我们只需要拿每一层的最后一个节点放进我们的结果数组中即可,下一层的数据是当前层的所有有效子节点。

/**
 * Definition for a binary tree node.
 * function TreeNode(val, left, right) {
 *     this.val = (val===undefined ? 0 : val)
 *     this.left = (left===undefined ? null : left)
 *     this.right = (right===undefined ? null : right)
 * }
 */
/**
 * @param {TreeNode} root
 * @return {number[]}
 */
var rightSideView = function(root) {
    if (!root) return [];

    // 一开始从第一层开始
    let queue = [ root ];
    // 记录结果
    let result = [];

    while (queue.length) {
        // 缓存每一层的最右边的一个节点
        result.push(queue[queue.length - 1].val);
        
        // 把下一层的有效值放进新一轮的循环数组中
        queue = queue.reduce((total, cur) => {
            cur.left && total.push(cur.left);
            cur.right && total.push(cur.right);
            return total;
        }, []);
    }

    return result;
};

DFS + 递归

深度优先搜索的时候记得,要先搜索右节点,统计记录一下当前的层级,如果从右到左的过程中,右边的节点记录过了,同一层级的就不再记录,如果没有记录过,则记录下第一个节点。

/**
 * Definition for a binary tree node.
 * function TreeNode(val, left, right) {
 *     this.val = (val===undefined ? 0 : val)
 *     this.left = (left===undefined ? null : left)
 *     this.right = (right===undefined ? null : right)
 * }
 */
/**
 * @param {TreeNode} root
 * @return {number[]}
 */
var rightSideView = function(root, result = [], level = 1) {
    if (!root) return result;

    // 如果当前层级还没有节点记录,则记录第一个
    if (result.length < level) {
        result.push(root.val);
    }

    // 先记录右边,再记录左边
    result = rightSideView(root.right, result, level + 1);
    result = rightSideView(root.left, result, level + 1);

    return result;
};

看懂了的小伙伴可以点个关注、咱们下道题目见。如无意外以后文章都会以这种形式,有好的建议欢迎评论区留言。