[路飞]_leetcode-面试题 02.08-环路检测

96 阅读2分钟

一、题目描述

[题目地址]

给定一个链表,如果它是有环链表,实现一个算法返回环路的开头节点。若环不存在,请返回 null

如果链表中有某个节点,可以通过连续跟踪 next 指针再次到达,则链表中存在环。 为了表示给定链表中的环,我们使用整数 pos 来表示链表尾连接到链表中的位置(索引从 0 开始)。 如果 pos 是 -1,则在该链表中没有环。注意:pos 不作为参数进行传递,仅仅是为了标识链表的实际情况。

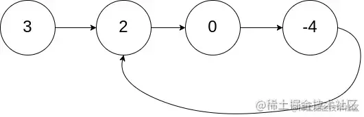
示例 1:

输入: head = [3,2,0,-4], pos = 1
输出: tail connects to node index 1
解释: 链表中有一个环,其尾部连接到第二个节点。

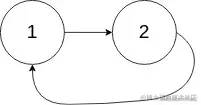
示例 2:

输入: head = [1,2], pos = 0
输出: tail connects to node index 0
解释: 链表中有一个环,其尾部连接到第一个节点。

示例 3:

输入: head = [1], pos = -1
输出: no cycle
解释: 链表中没有环。

进阶:

  • 你是否可以不用额外空间解决此题?

本题要求判断链表是否有环,如果有环,返回环路的第一个节点,否则返回 null

解题思路如下:

遍历链表,如果当前节点有 tag 标记,说明之前遍历过该节点,此时再次遍历到该节点,说明该节点就是链表环路的开头节点,将其返回即可

否则给该节点 tag 属性赋值(赋值内容没有要求,只要能判断到是否有标记即可),然后继续向后遍历链表

如果直到链表末尾,都没有遇到一个之前遍历过的节点,说明链表没有环,返回 null

演示过程如下:

142. 环形链表 II.gif 图片转发奔跑的蜗牛

代码实现

var detectCycle = function(head) {
  // 遍历链表
  while(head){
    // 如果当前节点有tag,说明之前遍历过,返回该节点
    if(head.tag) return head;
    // 反之给节点打上tag
    head.tag = 'been';
    head = head.next;
  }
  // 如果遍历完链表没有遇到之前遍历过的节点,说明链表没有环,返回null
  return null;
};