[路飞]删除链表重复元素和分隔链表操作

140 阅读2分钟

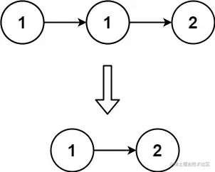
1.删除排序链表的重复元素

存在一个按升序排列的链表,给你这个链表的头节点 head ,请你删除所有重复的元素,使每个元素 只出现一次 。

返回同样按升序排列的结果链表。

  示例 1:

输入:head = [1,1,2] 输出:[1,2] 示例 2:

输入:head = [1,1,2,3,3] 输出:[1,2,3]

分析:判断当前节点与下一个节点值是否相等如果相等就让当前节点的next指向当前节点的下下个节点,这样相同的节点就被删掉了,如果不相等就让当前节点指向下一个节点.代码如下:

var deleteDuplicates = function(head) {
   //判断当前链表是否大于两个节点
    if(!head || !head.next) return head;
    //定义一个变量等于当前链表
    let p = head;
    //循环链表
    while(p.next){
        //判断当前节点值与下个节点值是否相等,如果相等就等于下下个节点
        if(p.val == p.next.val){
           //此时链表已经改变删除了当前节点的下一个节点,此时head已改变
            p.next = p.next.next;
        }else{
            //当前head没发生变化
            p = p.next;
        }
    }
    //返回已改变的链表
    return head;
};

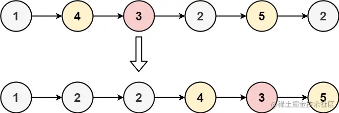
2.分割链表

给你一个链表的头节点 head 和一个特定值 x ,请你对链表进行分隔,使得所有 小于 x 的节点都出现在 大于或等于 x 的节点之前。

你应当 保留 两个分区中每个节点的初始相对位置。

 示例 1:

输入: head = [1,4,3,2,5,2], x = 3
输出:[1,2,2,4,3,5]

解题思路:定义两个空链表,大于x的放在一个链表里,小于的放在一个链表,定义两个变量等于两个空节点的尾结点,操作链表的插入,然后将大于的链表拼接在小的一组链表后面,就完成了分割链表,代码如下:

var partition = function(head, x) {
    //判断链表是否需要分割
    if(!head || !head.next) return head;
    //定义空链表存放小于x的节点
    let rs = new ListNode(0);
    //定义一个空链表存放大于x值的节点
    let rb = new ListNode(0);
    //定义变量接受链表
    let rs1 = rs,rb1 = rb,p = head,q = head;
    //遍历当前链表
    while(p){
        //储存没有遍历过的节点
        q = q.next;
        断开链表这样p就等于当前节点,只有一个节点
         p.next = null;
        if(p.val < x){
           //如果小于x就存放在rs链表里
           rs1.next = p;
           //保持rs1等于rs链表的最后一个节点 
           rs1 = p;
        }else{
            //如果大于x就存放在rb链表里
            rb1.next = p;
            //保持rb1等于rb链表的最后一个节点 
            rb1 = p;
        }
        //将p赋值未遍历的节点
        p = q;
    }
    //让rs链表的末尾节点rs1指向rb这样就完成链表拼接
    rs1.next = rb.next;
    return rs.next;
};