leetcode_114 二叉树展开为链表

92 阅读1分钟

要求

给你二叉树的根结点 root ,请你将它展开为一个单链表:

展开后的单链表应该同样使用 TreeNode ,其中 right 子指针指向链表中下一个结点,而左子指针始终为 null 。 展开后的单链表应该与二叉树 先序遍历 顺序相同。

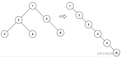
示例 1:

image.png

输入:root = [1,2,5,3,4,null,6]
输出:[1,null,2,null,3,null,4,null,5,null,6]

示例 2:

输入:root = []
输出:[]

示例 3:

输入:root = [0]
输出:[0]

提示:

  • 树中结点数在范围 [0, 2000] 内
  • -100 <= Node.val <= 100

核心代码

# Definition for a binary tree node.
# class TreeNode:
#     def __init__(self, val=0, left=None, right=None):
#         self.val = val
#         self.left = left
#         self.right = right
class Solution:
    def flatten(self, root: TreeNode) -> None:
        """
        Do not return anything, modify root in-place instead.
        """
        queue = []
        self.dft(root,queue)
        for idx,node in enumerate(queue):
            node.left = None
            if idx < len(queue) - 1:
                next_node = queue[idx + 1]
                node.right = next_node
        
    def dft(self,tree,queue):
        if not tree:
            return 
        queue.append(tree)
        if tree.left:
            self.dft(tree.left,queue)
        if tree.right:
            self.dft(tree.right,queue)

image.png

解题思路:我们首先先对树进行遍历,将结果存储到队列中,然后我们将队列中的数据放到新构建的树的右节点上,左节点置空。