[路飞_js算法实现:链表中倒数第k个节点 交换链表中的节点 两两交换链表中的节点 合并K个升序链表 复制带随机指针的链表]

193 阅读4分钟

链表中倒数第k个节点

问题描述: 输入一个链表,输出该链表中倒数第k个节点。为了符合大多数人的习惯,本题从1开始计数,即链表的尾节点是倒数第1个节点。

例如,一个链表有 6 个节点,从头节点开始,它们的值依次是 1、2、3、4、5、6。这个链表的倒数第 3 个节点是值为 4 的节点。(by leetcode 剑指 Offer 22

示例:

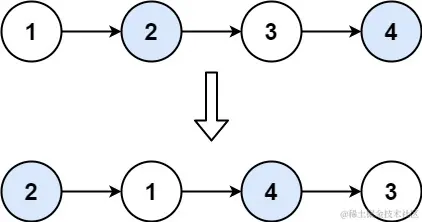
给定一个链表: 1->2->3->4->5, 和 k = 2.
​
返回链表 4->5.

思路: 先从头到尾循环链表,获取链表的长度n。在从头往后找(n-k)项,就是要找的倒数第K个节点。

/**
 * Definition for singly-linked list.
 * function ListNode(val) {
 *     this.val = val;
 *     this.next = null;
 * }
 */
/**
 * @param {ListNode} head
 * @param {number} k
 * @return {ListNode}
 */
var getKthFromEnd = function(head, k) {
if(head==null||head.next==null) return head;
let p=head;
let n=0;
while(p){
    n++;
    p=p.next;
}
k=n-(k%n||n);
p=head;
while(k){
    k--;
    p=p.next;
}
return p;
}

交换链表中的节点

问题描述: 给你链表的头节点 head 和一个整数 k

交换 链表正数第 k 个节点和倒数第 k 个节点的值后,返回链表的头节点(链表 从 1 开始索引)。(by leetcode 1721)

示例 1:

img

输入:head = [1,2,3,4,5], k = 2
输出:[1,4,3,2,5]

思路: 从头到尾遍历一遍链表,算出链表的长度n,从头找到第K个节点,从头找到(n-k)第倒数K个节点,交换两个节点的值。

/**
 * Definition for singly-linked list.
 * function ListNode(val, next) {
 *     this.val = (val===undefined ? 0 : val)
 *     this.next = (next===undefined ? null : next)
 * }
 */
/**
 * @param {ListNode} head
 * @param {number} k
 * @return {ListNode}
 */
var swapNodes = function(head, k) {
if(head==null||head.next==null)return head;
let p=head;
let n=0;
while(p){
    p=p.next;
    n++
}
 p=head;
let k1=(k%n||n)-1;
while(k1){
    k1--;
    p=p.next
}
k=n-(k%n||n);
let q=head;
while(k){
    k--;
    q=q.next;
}
let s=q.val;
q.val=p.val;
p.val=s;
return head
};
​
(方法二)
var swapNodes = function(head, k) {
if(head==null||head.next==null)return head;
let p=head;
let q=head;
let flag=head;
let n=1;
while(flag){
    if(n<k){
        p=p.next;
    }
    if(n>k){
        q=q.next
    }
    n++;
    flag=flag.next
}
let val=p.val;
p.val=q.val;
q.val=val;
return head
};

两两交换链表中的节点

问题描述: 给你一个链表,两两交换其中相邻的节点,并返回交换后链表的头节点。你必须在不修改节点内部的值的情况下完成本题(即,只能进行节点交换)。(by leetcode 24

示例 1:

img

输入:head = [1,2,3,4]
输出:[2,1,4,3]

思路: 需要用到一个临时指针,然后从头到尾找链表,交换每一组(相邻的两个)位置,用临时指针串联起来。

/**
 * Definition for singly-linked list.
 * function ListNode(val, next) {
 *     this.val = (val===undefined ? 0 : val)
 *     this.next = (next===undefined ? null : next)
 * }
 */
/**
 * @param {ListNode} head
 * @return {ListNode}
 */
var swapPairs = function(head) {
   if(head==null||head.next==null)return head;
   let vir=new ListNode(0);
   vir.next=head; 
   let temp=vir;
   while(temp.next!==null&&temp.next.next!==null){
       let p=temp.next;
       let q=temp.next.next;
     temp.next=q;
     p.next=q.next;
     q.next=p;
     temp=temp.next.next
   }
   return vir.next;
};

合并K个升序链表

问题描述: 给你一个链表数组,每个链表都已经按升序排列。

请你将所有链表合并到一个升序链表中,返回合并后的链表。(by leetcode 23

示例 1:

输入:lists = [[1,4,5],[1,3,4],[2,6]]
输出:[1,1,2,3,4,4,5,6]
解释:链表数组如下:
[
  1->4->5,
  1->3->4,
  2->6
]
将它们合并到一个有序链表中得到。
1->1->2->3->4->4->5->6

思路: 用分治的思想,量量合并,再合并合并之后的,直到没有需要合并的项。

/**
 * Definition for singly-linked list.
 * function ListNode(val, next) {
 *     this.val = (val===undefined ? 0 : val)
 *     this.next = (next===undefined ? null : next)
 * }
 */
/**
 * @param {ListNode[]} lists
 * @return {ListNode}
 */
var mergeKLists = function(list) {
    function merge(list,l,r){
    if(l>r)return null;
    if(l==r)return list[l]
    let mid=Math.floor((l+r)/2)
    return mergeTwoLists(merge(list,l,mid),merge(list,mid+1,r))
    }
​
function mergeTwoLists(list1,list2){
 if(list1==null||list2==null){
    return list1||list2
}
let temp=new ListNode(0);
let head=temp;
while(list1&&list2){
    if(list1.val<=list2.val){
        temp.next=list1;
        list1=list1.next
    }
  else{
        temp.next=list2;
        list2=list2.next
    }
    temp=temp.next;
}
​
temp.next=list1?list1:list2
return head.next;
}
return merge(list,0,list.length-1);
};

复制带随机指针的链表

问题描述: 给你一个长度为 n 的链表,每个节点包含一个额外增加的随机指针 random ,该指针可以指向链表中的任何节点或空节点。

构造这个链表的 深拷贝。 深拷贝应该正好由 n全新 节点组成,其中每个新节点的值都设为其对应的原节点的值。新节点的 next 指针和 random 指针也都应指向复制链表中的新节点,并使原链表和复制链表中的这些指针能够表示相同的链表状态。复制链表中的指针都不应指向原链表中的节点 。(by leetcode 138)

例如,如果原链表中有 XY 两个节点,其中 X.random --> Y 。那么在复制链表中对应的两个节点 xy ,同样有 x.random --> y

返回复制链表的头节点。

用一个由 n 个节点组成的链表来表示输入/输出中的链表。每个节点用一个 [val, random_index] 表示:

  • val:一个表示 Node.val 的整数。
  • random_index:随机指针指向的节点索引(范围从 0n-1);如果不指向任何节点,则为 null

你的代码 接受原链表的头节点 head 作为传入参数。

示例 1:

img

输入:head = [[7,null],[13,0],[11,4],[10,2],[1,0]]
输出:[[7,null],[13,0],[11,4],[10,2],[1,0]]

思路: 先从头到尾遍历一遍链表,在每个节点后面插入一个跟前一个节点一样的节点。再从头到尾遍历一遍链表,给每一个复制的节点添加random属性(注意:是复制节点random的下一个节点)。拆分链表,每隔一个节点取下来,练成新的链表,返回

/**
 * // Definition for a Node.
 * function Node(val, next, random) {
 *    this.val = val;
 *    this.next = next;
 *    this.random = random;
 * };
 *//**
 * @param {Node} head
 * @return {Node}
 */
var copyRandomList = function(head) {
   if (head === null) {
        return head;
    }
    let p=head;
    while(p){
        const nodeNew = new Node(p.val, p.next, null);
        p.next = nodeNew;
        p=nodeNew.next;
    }
    p=head;
    while(p){
        const nodeNew = p.next;
        nodeNew.random = (p.random !== null) ? p.random.next : null;
        p=nodeNew.next;
    }
    p=head;
     let headNew=head.next
    while(p){
        let node=p.next;
        p.next=node.next;
        node.next = (node.next !== null) ? node.next.next : null;
        p=p.next;
​
    }
    return headNew;
};