二叉树基本算法

158 阅读3分钟

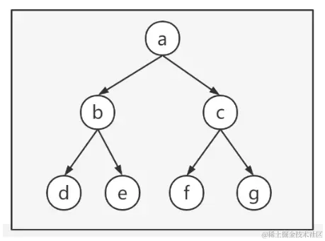
二叉树定义:

二叉树(英语:Binary tree)是每个节点最多只有两个分支(即不存在分支度大于2的节点)的树结构。通常分支被称作“左子树”或“右子树”。二叉树的分支具有左右次序,不能随意颠倒。更多解释,详见堆和堆排序

image.png

一、递归遍历

1、先序遍历

根左右。a,b,d,e,c,f,g

/**
 * 二叉树:先序遍历。根-左-右
 * 
 * 经典递归写法
 *
 * @author Java和算法学习:周一
 */
public static void pre(Node head) {
    if (head == null) {
        return;
    }
    System.out.println(head.value);
    pre(head.left);
    pre(head.right);
}

2、中序遍历

左根右。d,b,e,a,f,c,g

/**
 * 二叉树:中序遍历。左-根-右
 *
 * 经典递归写法
 *
 * @author Java和算法学习:周一
 */
public static void in(Node head) {
    if (head == null) {
        return;
    }
    in(head.left);
    System.out.println(head.value);
    in(head.right);
}

3、后序遍历

左右根。d,e,b,f,g,c,a

/**
 * 二叉树:后序遍历。左-右-根
 *
 * 经典递归写法
 *
 * @author Java和算法学习:周一
 */
public static void pos(Node head) {
    if (head == null) {
        return;
    }
    pos(head.left);
    pos(head.right);
    System.out.println(head.value);
}

经典的递归版先序、中序、后序遍历,我们再熟悉不过了,今天我们说些不同的,递归序

仔细点的小伙伴似乎已经发现,递归的先序、中序、后序遍历其实是很相似的,就是打印的时机不同。这是因为,它们实际是由递归序改写而来的。啥是递归序,就是每次经过自己的时候,都打印节点的值,最后打印出来的即是递归序

在递归序的基础上,只打印第一次经过自己时的值,即是先序;只打印第二次经过自己的值,即是中序;只打印第三次经过自己的值,即是后序

4、递归序

/**
 * 递归序
 *
 * @author Java和算法学习:周一
 */
public static void f(Node head) {
    if (head == null) {
        return;
    }
    // 1
    System.out.println(head.value);

    f(head.left);

    // 2
    System.out.println(head.value);

    f(head.right);

    // 3
    System.out.println(head.value);
}

一个结论:已知一个二叉树的先序遍历和后序遍历,某个节点X,X先序遍历之前的节点集合为A,X后序遍历之后的节点集合为B,那么 A 和 B 的交集一定是X节点的所有祖先节点

二、非递归遍历

1、先序遍历

(1)准备一个栈,压入当前节点(即头节点)

(2)弹出栈顶元素,打印对应的值

(3)此元素有右孩子往栈压入右孩子,有左孩子往栈压入左孩子(先右再左)

(4)一直执行2、3步,直到栈为空。

/**
 * 非递归先序遍历
 *
 * @author Java和算法学习:周一
 */
public static void pre(Node head) {
    if (head != null) {
        Stack<Node> stack = new Stack<>();
        // 压入当前节点
        stack.push(head);
        while (!stack.isEmpty()) {
            // 弹出栈顶元素
            Node current = stack.pop();
            System.out.print(current.value + " ");
            // 先压入右孩子,再压入左孩子
            if (current.right != null) {
                stack.push(current.right);
            }
            if (current.left != null) {
                stack.push(current.left);
            }
        }
    }
}

2、中序遍历

(1)准备一个栈

(2)压入以当前节点current为头节点的整个左子树(入栈一个,current就移动到左孩子),直到为空

(3)弹出栈顶元素,打印其值,以当前弹出元素的右孩子为current节点,重复第2步

(4)当栈为空时结束

/**
 * 非递归中序遍历
 *
 * @author Java和算法学习:周一
 */
public static void in(Node head) {
    if (head != null) {
        Stack<Node> stack = new Stack<>();
        Node current = head;
        while (!stack.isEmpty() || current != null) {
            if (current != null) {
                // 将当前节点的整个左子树入栈
                stack.push(current);
                current = current.left;
            } else {
                // 左子树入栈完后,弹出栈顶元素
                Node pop = stack.pop();
                System.out.print(pop.value + " ");
                // 以当前弹出元素的右孩子为current节点,继续循环
                current = pop.right;
            }
        }
    }
}

3、后序遍历

(1)准备两个栈stackA,stackB;stackA压入当前节点(即头节点)

(2)弹出栈顶元素,压入stackB

(3)此元素有左孩子往stackA栈压入左孩子,有右孩子往stackA栈压入右孩子(先左再右)

(4)一直执行2、3步,直到stackA栈为空。

(5)打印所有stackB栈的元素

相当于stackA出栈顺序是 根右左,最后stackB出栈顺序是 左右根。

/**
 * 非递归后序遍历
 *
 * @author Java和算法学习:周一
 */
public static void pos(Node head) {
    if (head != null) {
        Stack<Node> stackA = new Stack<>();
        Stack<Node> stackB = new Stack<>();
        stackA.push(head);
        while (!stackA.isEmpty()) {
            // stackA出栈顺序是 根 右 左
            Node current = stackA.pop();
            // stackB入栈顺序是 根 右 左
            stackB.push(current);
            // stackA先左孩子入栈,再右孩子入栈
            if (current.left != null) {
                stackA.push(current.left);
            }
            if (current.right != null) {
                stackA.push(current.right);
            }
        }

        // stackB出栈顺序是 左 右 根
        while (!stackB.isEmpty()) {
            System.out.print(stackB.pop().value + " ");
        }
    }
}

三、二叉树按层遍历

(1)准备一个队列,头节点入队

(2)出队一个节点,打印其值;出队节点有左孩子则左孩子入队,有右孩子则右孩子入队

(3)循环执行第2步,直到队列为空

/**
 * 二叉树按层遍历
 *
 * @author Java和算法学习:周一
 */
public static void levelTraversal(Node head) {
    if (head == null) {
        return;
    }
    // 准备一个队列
    Queue<Node> queue = new LinkedList<>();
    // 头节点入队
    queue.offer(head);
    while (!queue.isEmpty()) {
        // 从队列中弹出一个节点
        Node current = queue.poll();
        // 打印
        System.out.print(current.value + " ");
        // 有左孩子则左孩子入队
        if (current.left != null) {
            queue.offer(current.left);
        }
        // 有右孩子则右孩子入队
        if (current.right != null) {
            queue.offer(current.right);
        }
    }
}

本文主要介绍了,二叉树的先序、中序、后序的递归遍历(以及曾经不知道的递归序)、非递归遍历,二叉树的层序遍历。

本文全部代码:https://github.com/monday-pro/algorithm-study/tree/master/src/basic/binarytree