leetcode_143 重排链表

438 阅读1分钟

要求

给定一个单链表 L 的头节点 head ,单链表 L 表示为:

L0 → L1 → … → Ln - 1 → Ln

请将其重新排列后变为:

L0 → Ln → L1 → Ln - 1 → L2 → Ln - 2 → …

不能只是单纯的改变节点内部的值,而是需要实际的进行节点交换。

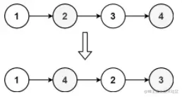
示例 1:

image.png

输入:head = [1,2,3,4]
输出:[1,4,2,3]

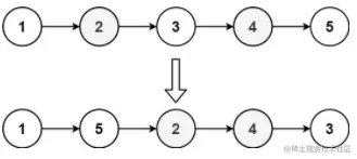
示例 2:

image.png

输入:head = [1,2,3,4,5]
输出:[1,5,2,4,3]

提示:

  • 链表的长度范围为 [1, 5 * 104]
  • 1 <= node.val <= 1000

核心代码

# Definition for singly-linked list.
# class ListNode:
#     def __init__(self, val=0, next=None):
#         self.val = val
#         self.next = next
class Solution:
    def reorderList(self, head: ListNode) -> None:
        if not head:
            return head
        slow = fast = head
        while fast and fast.next:
            slow = slow.next
            fast = fast.next.next
        bp = slow  # 中间节点
        
        # 后半部分逆序
        p = slow.next 
        slow.next = None
        while p:
            tmp = p.next
            p.next = slow
            slow = p
            p = tmp
        self.merge(head,slow,bp)
    
    def merge(self,x,y,gap):
        if x == gap:
            x.next = None
            return
        if not y:
            return
        xn = x.next
        yn = y.next
        x.next = y
        y.next = xn
        self.merge(xn,yn,gap)

image.png

解题思路:我们通过快慢的方式获取到中点的位置,然后我们这边将后半段的数据进行反转,我们通过merge方法进行递归,不断的在第二段数组上拆卸下来值,安装到第一段数据上面,不断的递归后移,最终碰到终点(中点)的时候停止,最终得到一个拼接好的重排链表。