encorehe学习手册-leetcode-206反转链表的几种解法

169 阅读2分钟

题目

给你单链表的头节点 head ,请你反转链表,并返回反转后的链表。

示例 1:

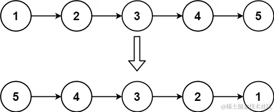
输入: head = [1,2,3,4,5]
输出: [5,4,3,2,1]

示例 2:

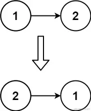
输入: head = [1,2]
输出: [2,1]

示例 3:

输入: head = []
输出: []

提示:

  • 链表中节点的数目范围是 [0, 5000]
  • -5000 <= Node.val <= 5000

解答思路

  • 基本思路: 遍历链表

解题方式

1、迭代法

假设链表为 1→2→3→∅,我们想要把它改成 ∅←1←2←3。

  • 在遍历链表时,将当前节点的 next 指针改为指向前一个节点。由于节点没有引用其前一个节点,因此必须事先存储其前一个节点。在更改引用之前,还需要存储后一个节点。最后返回新的头引用 复杂度分析

  • 时间复杂度:O(n),其中 n 是链表的长度。需要遍历链表一次。

  • 空间复杂度:O(1)。

var reverseList = function(head) {
    let prev = null;
    let curr = head;
    while (curr) {
        const next = curr.next;
        curr.next = prev;
        prev = curr;
        curr = next;
    }
    return prev;
};
2、递归法

递归版本稍微复杂一些,其关键在于反向工作。假设链表的其余部分已经被反转,现在应该如何反转它前面的部分?

假设链表为:
n1​→…→nk−1​→nk​→nk+1​→…→nm​→∅
若从节点 nk+1​ 到 nm​ 已经被反转,而我们正处于 nk​。
n1​→…→nk−1​→nk​→nk+1​←…←nm​
我们希望 nk+1​ 的下一个节点指向 nk​。
所以,nk​.next.next=nk​。
需要注意的是 n1​ 的下一个节点必须指向 ∅。如果忽略了这一点,链表中可能会产生环。

复杂度分析

  • 时间复杂度:O(n),其中 n 是链表的长度。需要对链表的每个节点进行反转操作。
  • 空间复杂度:O(n),其中 n 是链表的长度。空间复杂度主要取决于递归调用的栈空间,最多为 n 层。
var reverseList = function(head) {
    if (head == null || head.next == null) {
        return head;
    }
    const newHead = reverseList(head.next);
    head.next.next = head;
    head.next = null;
    return newHead;
};
3、es6语法
var reverseList = function(head) { 
    if (!head) return null
    let pre = null, cur = head;
    while (cur) { 
        // let next = cur.next;
        // cur.next = pre; 
        // pre = cur; 
        // cur = next 
        [cur.next,pre,cur] = [ pre,cur,cur.next ] 
    } 
    return pre;
};