【路飞】算法与数据结构-面试题 02.08. 环路检测

157 阅读1分钟

LeetCode:地址

题目要求

给定一个链表,如果它是有环链表,实现一个算法返回环路的开头节点。若环不存在,请返回 null。

如果链表中有某个节点,可以通过连续跟踪 next 指针再次到达,则链表中存在环。 为了表示给定链表中的环,我们使用整数 pos 来表示链表尾连接到链表中的位置(索引从 0 开始)。 如果 pos 是 -1,则在该链表中没有环。注意:pos 不作为参数进行传递,仅仅是为了标识链表的实际情况。

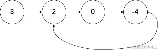
示例 1:

circularlinkedlist.png

输入:head = [3,2,0,-4], pos = 1
输出:tail connects to node index 1
解释:链表中有一个环,其尾部连接到第二个节点。

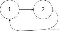
示例 2:

circularlinkedlist_test2.png

输入:head = [1,2], pos = 0
输出:tail connects to node index 0
解释:链表中有一个环,其尾部连接到第一个节点。

示例 3:

circularlinkedlist_test3.png

输入: head = [1], pos = -1
输出: no cycle
解释: 链表中没有环。

进阶:

  • 你是否可以不用额外空间解决此题?
思路

利用数据字典的方式(Map)来记录解决,如果遍历再次遇到有记录的点,则是环路的开头节点。

代码
/**
 * Definition for singly-linked list.
 * function ListNode(val) {
 *     this.val = val;
 *     this.next = null;
 * }
 */

/**
 * @param {ListNode} head
 * @return {ListNode}
 */
var detectCycle = function(head) {
    let cur =head;
    let col = new Map();

    while(cur && !col.has(cur)) {
        col.set(cur);
        cur = cur.next;
    }
    return cur;
};