[路飞]_算法_链表_ 环路检测

241 阅读1分钟

题目描述

给定一个链表,如果它是有环链表,实现一个算法返回环路的开头节点。若环不存在,请返回 null。

如果链表中有某个节点,可以通过连续跟踪 next 指针再次到达,则链表中存在环。 为了表示给定链表中的环,我们使用整数 pos 来表示链表尾连接到链表中的位置(索引从 0 开始)。 如果 pos 是 -1,则在该链表中没有环。注意:pos 不作为参数进行传递,仅仅是为了标识链表的实际情况。

 

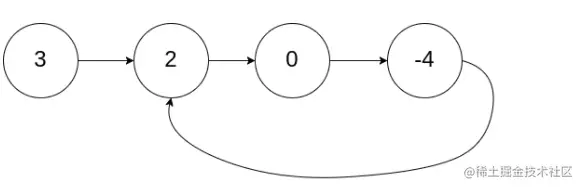
示例 1:

image.png

输入:head = [3,2,0,-4], pos = 1 输出:tail connects to node index 1 解释:链表中有一个环,其尾部连接到第二个节点。

示例 2:

image.png

输入:head = [1,2], pos = 0 输出:tail connects to node index 0 解释:链表中有一个环,其尾部连接到第一个节点。

示例 3:

image.png 输入:head = [1], pos = -1 输出:no cycle 解释:链表中没有环。  

进阶:

你是否可以不用额外空间解决此题?

来源:力扣(LeetCode) 链接:leetcode-cn.com/problems/li… 著作权归领扣网络所有。商业转载请联系官方授权,非商业转载请注明出处。

解题思路

使用set来储存节点,遍历链表,有存在则是有环

代码

/**
 * Definition for singly-linked list.
 * function ListNode(val) {
 *     this.val = val;
 *     this.next = null;
 * }
 */

/**
 * @param {ListNode} head
 * @return {ListNode}
 */
var detectCycle = function(head) {
    let list=new Set();//利用set不能重复的特性
    while (head){
        if(list.has(head)){
            return head;
        }
        list.add(head);
        head=head.next;
    }
    return null;
    
};