JS数据类型

253 阅读8分钟

其它

1.强烈推荐阅读《我用了两个月的时间才理解 let》

2.markdown如何输入上下标 输入上标,如x^2 , 则输入x^2

3.键盘怎么打顿号?中文状态下点击"|"键

4.二进制只有0和1

5.前6种类型都是简单类型,只有object叫做复杂类型

6.JS秘密花园收录了JS的各种bug

7.JS新增了一种类型bigint 因为太新了用得很少,面试基本不考。

数据为什么需要类型?

数字与字符串

(1)功能不同

数字是数字,字符串是字符串,要严谨

数字能加减乘除,字符串不行

字符串能表示电话号码(有时候电话号码还可以有字母),数字不同

(2)存储形式不同

JS中,数字是用64位浮点数的形式存储的

JS中,字符串是用类似UTF8形式存储的(UCS-2)

JS是如何存数字的?

就是把所有数字变成二进制存下来,再用十六进制简化。

把所有的十进制都转为二进制

补充:内存里只能存0和1,2都存不了。2就要把它变成1或0。

二进制

1.十进制转二进制

例子:31变成二进制 31 = ?x2^5 + ?x2^4 + ?x2^3 + ?x2^2 + ?x2^1 + ?x2^0

经过一番尝试 31=0x2^5 + 1x2^4 + 1x2^3 + 1x2^2 + 1x2^1 + 1x2^0

所以31(十进制)=01 1111(二进制)

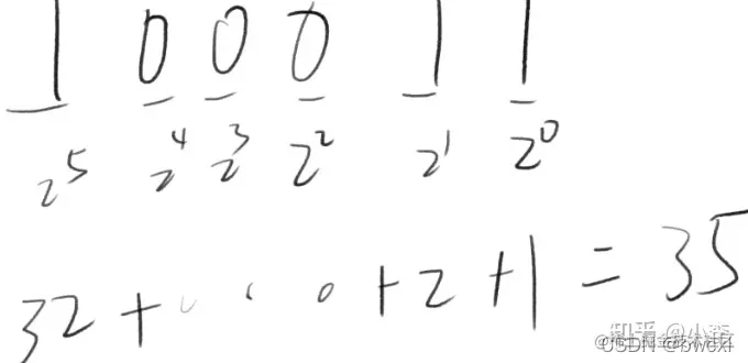
2.二进制转十进制 例子:100011变成十进制

在这里插入图片描述

每位数乘以2的N次方,然后加起来即可

100011=2^5 + 2^1 + 2^0=35

用十六进制表示二进制

十六进制是二进制的简写(把每4位改写成1位)

十六进制:0 1 2 3 4 5 6 7 8 9 A B C D E F

十六进制没有大于9的数字,后面是字母替代

在这里插入图片描述 在这里插入图片描述

JS如何存字符?

1.英文编号

转成数字,但是注意‘1’不能用1来表示

编号表示,用0~127表示所有符号

最常用的:0是48,A是65,a是97

上面是外国的编号只能存128个字符,于是中文也开始编号了。

在这里插入图片描述

2.中文编号「国标2312」 中文编号由中国国家标准局来编,名称「国标2312」

国标是16位,也就是2个字节。

在这里插入图片描述

3.国标扩简称GBK

怎么表示生僻字,繁体字,韩文?

之前忘了编进取。微软推出了一个国标扩展,简称GBK。

在这里插入图片描述

国标局推出GB18030想取代微软的GBK但由于不兼容GB2312,所以没人愿意使用。

4.藏文泰语还是没法支持,于是推出了万国码 Unicode

Unicode优点:已收录13万字符(大于16位),全世界通用。以后还会继续扩充不会停止。

缺点:两个字节不够用,每个字符要用3个及以上字节。这样所有文件都扩大50%不划算。

那怎么办?

虽然用Unicode但存的时候偷懒,UTF-8就被发明出来了。

在这里插入图片描述

UTF-8就是通过"让前面那个人告诉计算机我有多少位"来把这个变长得以实现,从而得到节省空间的目的。

字符也是存数字,数字也是存数字。计算机怎么知道存的是字符还是数字呢?

很简单,计算机根本不知道,它看你的文件格式。文件后缀是txt那存的就是字符串。

js中的数据类型

8种

数字number

字符串string

布尔bool, 只有两个值true和false(注意大小写)

符号symbol

空undefined

空null

对象object

BigInt

总结:4基2空1对象

前6种类型都是简单类型,只有object叫做复杂类型

以下不是数据类型

数组,函数,日期

它们都属于object

一.数字number 64位浮点数

1.写法

(1)整数写法 1

(2)小数写法 0.1

(3)科学计数法 1.23e4(1.23x10^4 )

(4)八进制写法 0123或00123或0o123

(5)十六进制写法 0x3F或0X3F

(6)二进制写法 0b11或0B11

2.特殊值

(1)正0和负0

(2)无穷大

infinity、+infinity、-infinity

(3)无法表示的数字

NaN(not a number)

无法表示的数字是数字(认知有限时的替代)

NaN==NaN

输出结果是false

为什么是64位浮点数?

在这里插入图片描述

要先转为二进制,然后再改写。

例子:0.5的存储形式是? 
首先转为二进制0.1,所以是 0 -1 0

64位浮点数最大/小存多少?

范围和精度

范围(忽略符号位)

指数拉满2^1024、有效数字拉满全是1,得到最大二进制数字。

转化为十进制就是(1后面接300个0)

Number.MAX_VALUE:1.7976931348623157e+308

指数负方向拉满2^-1023 、 有效数字最小1,得到最小值(0后面加300个小数点0)Number.MIN_VALUE:5e-324

精度(有效数字)

最多只能到52+1个二进制位表示有效数字

2^52 对应的十进制是9后面15个0,所以15位有效数字都能精确表示

16位有效数字如果小于90开头也能精确表示

9110 0000 0000 0001就存不下来

二.字符串string

每个字符两个字节(阉割版UTF8) 写法

单引号'你好' 双引号"你好" 反引号`你好`

注意

引号不属于字符串的一部分,就像书名不属于书名的一部分一样

如果要在单引号里面包含单引号怎么办?

例子:'it's ok'
正确写法:'it\'s ok'  //这就是转义
或者"it's ok"
或者`it's ok`

什么是转义? 用另一种写法表示你想要的东西(背下来)

\' 表示'
\" 表示"
\n 表示换行
\r 表示回车
\t 表示tab制表符
\\ 表示\
\uFFFF 表示对应的Unicode字符 
\xFF 	表示前256Unicode字符

例子: 🔍你 Unicode

控制台: "\u4F60"
输出:   '你'
 
控制台: "\x33"
输出:   '3'

多行字符串 用反引号 可以做到

let s=`大家好
我是小红
你是谁
 `
控制行输入: s
输出结果:
"大家好
我是小红
你是谁"

字符串的属性

等等,对象才有属性,为什么字符串也有属性?

只有对象才有属性,字符串 数字 布尔没有属性这么一说的。

为什么字符串也属性?等学完对象才能解答

字符串的长度 string.length

'123'.length    //3
'\n\r\t'.length //3
'\\\\\\'.length //3
''.length       //0
' '.length      //1

通过下标读取字符

1.string[index]

let s='hello'

s[0]//"h"

2.注意index从0开始

s[0]是第一个字符

3.注意index到length

let s="hello"

s[5] //undefined,居然不报错

base64转码

1.window.btoa

正常字符串转为 Base64 编码的字符串

编码

例子:window.btoa('123')
输出结果:'MTIz'

2.window.atob Base64编码的字符串转为原来的字符串 反编码

例子:window.atob('MTIz')
 输出结果:'123'

3.一般用来隐藏招聘启事里的简历

邮箱:ZmFuZ3lpbmdoYW5nQGZveG1haWwuY29t

有时候也用来自欺欺人

所谓的「加密」也就能骗过一部分外行

例子:window.atob('ZmFuZ3lpbmdoYW5nQGZveG1haWwuY29t')
输出结果:'fangyinghang@foxmail.com'

三.布尔bool两个值true和false

1.下列运算符会得到bool值

(1)否定运算

例如:!value

(2)相等运算

例如:1==2、1!=2、3===4、3!==4

(3)比较运算

例如:1>2、1>=2、3<4、3<=4

2.if配bool

(1)if语句常常需要判断真假

if(value){...}else{...}

(2)问题来了

如果value是bool值还好说

如果value不是bool值咋办,谁真谁假?

1是真还是假,0是真还是假?

命令行:成功返回0,失败返回12345

主要还是由程序员决定的

'1'是真还是假,'0'是真还是假?

那怎么判断呢?

5个falsy值(背下来)

falsy就是相当于false但是又不是false的值

分别是undefined null 0 NaN ''(注意没空格)

假:2个空2个数字1个字符串

2个空undefined null,2个数字0 NaN,1个字符串''。

判断1:1是真还是假,0是真还是假?

1不属于2个数字所以是真,0属于2个数字所以是假

1是真,0是假

判断2:'1'是真还是假,'0'是真还是假?

'1'和'0'都是真

总结:

7个数据类型

数字number 字符串string 布尔bool 符号symbol 空undefined 空null 对象object

4基2空1对象

5个falsy值

undefined null 0 NaN ''

2空2数字1字符串

undefined和null两种空类型

为什么有两个空,这就是js原(la)创(ji)之处

区别

没有本质区别

细节一

如果一个变量声明了但没有赋值,那么默认值就是undefined,而不是null

var a  //a的值就是undefined

细节二

如果一个函数没有写return,那么默认return undefined,而不是null

细节三

前端程序员习惯把非对象的空值写为undefined,把对象的空值写为null

四.符号symbol(很少用,没用)

变量声明

三种声明方式

var a=1
let a=1
const a=1
a=1

区别

var是过时的、不好用的方式

let是新的,更合理的方式

const是声明时必须赋值,且不能再改的方式

最后这种方式时错误的不准这样声明

总结:

以后就用let或const,不要用var!

let声明变量 const声明常量(不能变的量)

var变量提升押题时再讲

let声明

规则

1.遵循块作用域,即使用范围不能超出{}

2.不能重复申明

let a=1
let a=2 //错误

3.可以赋值也可以不赋值

4.必须先声明再使用,否则报错

5.全局声明的let变量,不会变成window的属性(var可以)

6.for循环配合let有奇效

面试题

 for(var i=0;i<5;i++){
   setTimeout(()=>console.log(i),0)
 }
 输出结果:5
         5
         5
         5
         5
 for(let i=0;i<5;i++){
   setTimeout(()=>console.log(i),0)
 }
 输出结果:0
         1
         2
         3
         4

const声明

const变量是只读变量,又叫做常量,不会变

规则

跟let几乎一样

只有一条不一样:声明时就要赋值,赋值后不能改

const i=1
i=2 //错误,不能修改

变量声明时,既指定了值又指定了类型!(重要)

name和'name'的区别?

name是变量

值可变,可能是'name',也可能是'hello'

'name'是字符串常量

常量就是不变量

'name'只能是'name',不能是其他值

类型转换

1.number=>string

1' String(n)

2' n+''(前端流行做法) 例子

1' var n=1
   String(n)
   输出结果:"1"

2' var n=1
   n+''
   输出结果:"1"

补充

js有个bug:String(100000000)

当括号内位数达到22位时突然变成科学计数法就无法正常转换字符串

在这里插入图片描述

解决js数字过大表现为科学计数法的问题

2.string=>number

1' Number(s)

2' s-0(前端流行做法)

3' parseInt(s)/parseFloat(s)

例子

1' var s='123'
   Number(s)
   输出结果:123

2' var s='123'
   s-0
   输出结果:123
   
3' parseInt(s)  

3.x=>bool

1' Boolean(x)

2' !!x(前端流行做法)

4.x=>string

1' String(x)

2' x.toString()

toString有个bug: 1.toString()

改为(1).toString()或者1..toString()

JS秘密花园收录了JS的各种bug