[路飞]_LeetCode题82删除排序链表中的重复元素 II

173 阅读1分钟

题目描述

存在一个按升序排列的链表,给你这个链表的头节点 head ,请你删除链表中所有存在数字重复情况的节点,只保留原始链表中 没有重复出现 的数字。

返回同样按升序排列的结果链表。

 

示例 1:

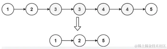
image.png

输入:head = [1,2,3,3,4,4,5] 输出:[1,2,5] 示例 2:

image.png

输入:head = [1,1,1,2,3] 输出:[2,3]  

提示:

链表中节点数目在范围 [0, 300] 内 -100 <= Node.val <= 100 题目数据保证链表已经按升序排列

来源:力扣(LeetCode) 链接:leetcode-cn.com/problems/re… 著作权归领扣网络所有。商业转载请联系官方授权,非商业转载请注明出处。

题解思路

  1. 我们定义两个指针pre和cur,pre指向虚拟头结点,cur指向head。
  2. 空链表直接返回null
  3. 单节点链表直接返回head 当节点数在1个以上就会存在重复节点的可能,此时到了关键时刻,说,要把大象装冰箱拢共分几步?我们先来看下有了pre和cur之后的链表:

image.png 从图可以看出,从cur(head)开始不具有重复的节点的特点是他和他下一个节点不等,所以当遇到不具有重复节点的节点我们同时移动pre和cur。1,2都是费重复节点,所以同时移动pre和cur

image.png

3是具有重复节点的节点,我们保持pre不动,只需要移动cur找出cur以及cur之后连续的重复的数,直到cur和cur的下一个不相等,让pre去指向cur的下一个,即删除所有重复的cur节点,然后让cur移动到下一个与cur不重复的节点,pre是不动的。

image.png 此时pre在2的位置,和最初的链表pre指向的是虚拟头结点都具有唯一性,至此上述删除的过程进入了循环往复,直到链表循环结束

image.png 最后返回虚拟头结点指向的新生成的head节点

image.png

题解代码

 * Definition for singly-linked list.
 * function ListNode(val, next) {
 *     this.val = (val===undefined ? 0 : val)
 *     this.next = (next===undefined ? null : next)
 * }
 */
/**
 * @param {ListNode} head
 * @return {ListNode}
 */
var deleteDuplicates = function(head) {
  if(!head) return null;
  //定义两个指针,pre指向虚拟头结点,cur指向head
  let ret = new ListNode(-1,head),pre = ret, cur = head;

  while (cur && cur.next) {
    //判断pre的下一个节点的值和cur下一个节点的值是否相等
    //不相等-->同时移动pre和cur
    if(pre.next.val !== cur.next.val){
      pre = cur;
      cur = cur.next;
    }else{
      //当等-->继续移动cur直到cur.next与pre.next不相等
      while (cur && cur.next && pre.next.val === cur.next.val) {
        cur = cur.next;
      }

      //让pre指向cur.next,删除所有重复的cur,cur移动到新的非重复节点
      pre.next = cur.next;
      cur = cur.next;
    }
  }
  
  //循环上述过程,直到链表结束,返回处理完成后的头结点ret.next
  return ret.next;
};