【路飞】 83. 删除排序链表中的重复元素 js

107 阅读1分钟

题目: 存在一个按升序排列的链表,给你这个链表的头节点 head ,请你删除所有重复的元素,使每个元素 只出现一次 。

返回同样按升序排列的结果链表。

 

示例 1:

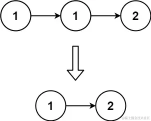
输入:head = [1,1,2] 输出:[1,2]

示例 2:

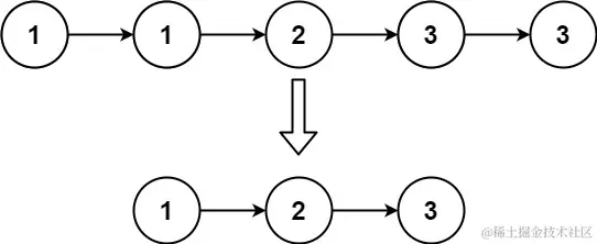
输入:head = [1,1,2,3,3] 输出:[1,2,3]   解法:

 * Definition for singly-linked list.
 * function ListNode(val, next) {
 *     this.val = (val===undefined ? 0 : val)
 *     this.next = (next===undefined ? null : next)
 * }
 */
/**
 * @param {ListNode} head
 * @return {ListNode}
 */
var deleteDuplicates = function(head) {
     let med = head;
    while(med!=null && med.next!= null){
        if(med.next.val === med.val){
            med.next = med.next.next;
        }else{
            med = med.next;
        }
    }
    return head;

};