【计算机基础】我大致讲清了数据的表示

310 阅读4分钟

【计算机基础】我大致讲清了数据的表示

博客说明

文章所涉及的部分资料来自互联网整理,当然还有自己个人的总结和看法,分享的目的在于共建社区和巩固自己。引用的资料如有侵权,请联系本人删除!幸好我在,感谢你来!

前言

💿 学着学着,开始倒卷!学新的搞不过你们,我就学基础!我温故,再知新!

(别闹,其实就是基础薄弱,之前又写了这个比较lou的总结,现在改作业,进行一个改正和总结)

计算机中的数据

计算机中的数据是以二进制来存储的,二进制只有两个状态,非常好表示,十分不(银杏),十分机器性。

010101010111010101010001

以上就是二进制的数,能看懂吗?(计算机:能!)

偷偷摸摸给一下进制的转化公式,有更好的记得评论给我哈。

  • R进制原则:逢R进一
  • R进制转十进制:按权展开
  • 十进制转R进制:短除法

数据处理

对于数据处理一般来看的话,是从数据的类型数据的范围数据的精度,在计算机中的话,还要考虑数据的处理数据的存储以及平台的兼容性问题。

数据的几大表示

学计算机的怎么能没听过原码,反码,补码,移码这四大🐎呢,不好意思,四大码。

真值

在看那四大码之前,先行一步了解一下什么是真值。

字面意思,真正的值!

其实在实际的运算中,拿到一个数之后会转化为二进制来计算。但是实际的数值是有+-之分的。带有正负号的二进制就被称为真值+ - 就是符号位

5  // 真值 -101
+5  // 真值 +101

原码

先来看一个公式

image-20211214221426708

原码就是在真值的基础上,把符号位用0 1表示。一般规定0表示正数,1表示负数。en,说错了吗?好像还真是这样,标起来,要考!

5  // 真值 -101  // 原码 1101
+5  // 真值 +101  // 原码 0101

反码

来一个公式

image-20211214221551234

看公式正数的反码就是原码,负数的反码就是符号位不变,其余各位按位取反。

5  // 真值 -101  // 原码 1101  // 反码 1010
+5  // 真值 +101  // 原码 0101  // 反码 0101

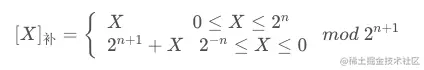
补码

老规矩,先看公式。

image-20211214222630739

正数的补码等于正数的原码,负数的补码等于反码 + 1。

5  // 真值 -101  // 原码 1101  // 反码 1010 // 补码 1011
+5  // 真值 +101  // 原码 0101  // 反码 0101 // 补码 0101

补码解决了原码和反码符号位计算的问题,故计算机中通常用补码计算!

移码

表示浮点数需要用到移码的形式,来,看公式!

image-20211214223317967

移码在运算中一般使用双符号位,即最高位用0填充,如果是正数,次高位用1;如果是负数,次高位用0。

实际就是将补码符号位取反,数值位不变,得到的数就是移码。

5  // 真值 -101  // 原码 1101  // 反码 1010 // 补码 1011  // 移码 00011
+5  // 真值 +101  // 原码 0101  // 反码 0101 // 补码 0101  // 移码 01101

数据的类型

这里可不是讲的某个编程语言的数据类型哈!

这里主要介绍定点数与浮点数。

定点数

定点数就是小数点固定的数,又分为定点整数和定点小数,这就得看小数点大哥的意思了。小数点固定在最后的位置,就叫定点整数,在其他位置就是定点小数。

缺陷:

表示的数据范围不足,计算机的字长是固定的,导致小数点的位置确定后,小数点后面的位数也是固定的,所以一些高精度的数据就没有办法表示了。

浮点数

为了解决精度问题,浮点数就出来了,浮点数表示的就是小数点的位置不固定的数。

后话

记住,计算机的基础还没完!走着瞧!(不敢,期待你的下次阅读哈)

感谢

万能的网络

以及勤劳的自己,个人博客GitHub测试GitHub

公众号-归子莫,小程序-小归博客