[路飞]_LeetCode题92反转链表II

328 阅读2分钟

题目描述

给你单链表的头指针 head 和两个整数 left 和 right ,其中 left <= right 。请你反转从位置 left 到位置 right 的链表节点,返回 反转后的链表 。  

示例 1:

image.png

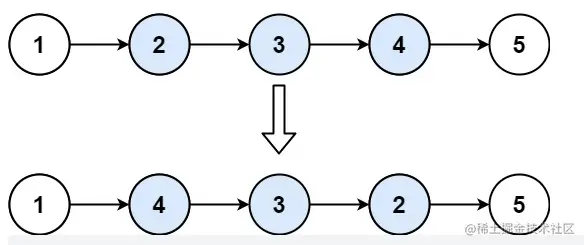
输入:head = [1,2,3,4,5], left = 2, right = 4 输出:[1,4,3,2,5] 示例 2:

输入:head = [5], left = 1, right = 1 输出:[5]  

提示:

链表中节点数目为 n 1 <= n <= 500 -500 <= Node.val <= 500 1 <= left <= right <= n  

进阶: 你可以使用一趟扫描完成反转吗?

来源:力扣(LeetCode) 链接:leetcode-cn.com/problems/re… 著作权归领扣网络所有。商业转载请联系官方授权,非商业转载请注明出处。

解题思路

我们以下图中黄色区域的链表反转为例:

image.png 反转left到right部分以后,再拼接起来。我们还需要记录left的前一个节点,和right的后一个节点。如图所示:

image.png

算法步骤

  1. 先将待反转的区域反转
  2. 把pre的next指针指向反转以后的链表头节点,把反转以后的链表的尾节点的next指针指向succ。

image.png

代码

 * Definition for singly-linked list.
 * function ListNode(val, next) {
 *     this.val = (val===undefined ? 0 : val)
 *     this.next = (next===undefined ? null : next)
 * }
 */
/**
 * @param {ListNode} head
 * @param {number} left
 * @param {number} right
 * @return {ListNode}
 */
var reverseBetween = function(head, left, right) {
  if(!head) return null;
  //ret:虚拟头结点,ListNode方法已给出,pre:链表指针,cnt:待反转区域需要反转的节点数
  let ret = new ListNode(-1,head),pre = ret,cnt = right - left + 1;
  //让pre停在反转区域的前一个节点
  while(--left){
    pre = pre.next;
  }
  //让反转区域的前一个节点指向反转后的头结点
  pre.next = reverse(pre.next,cnt);
  return ret.next;
};
var reverse = function(head,n){
  let pre = null,cur =head;
  //待反转区域头节点反转n次后(n为待反转区域长度),得到反转后的链表
  while(n--){
    [cur.next,pre,cur]=[pre,cur,cur.next]
  }
  //最初的头结点指向right节点的后一个节点
  head.next = cur;
  return pre;
}