【路飞】 206. 反转链表 js

143 阅读1分钟

题目解析过程:

image.png

题目:给你单链表的头节点 head ,请你反转链表,并返回反转后的链表。

示例 1:

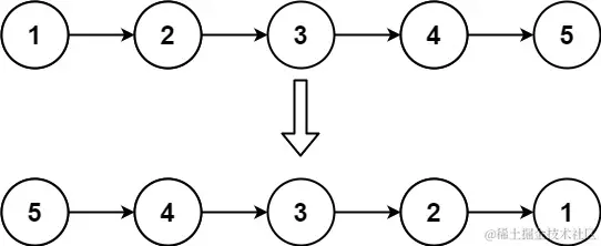
输入: head = [1,2,3,4,5]
输出: [5,4,3,2,1]

示例 2:

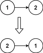
输入: head = [1,2]
输出: [2,1]

示例 3:

输入: head = []
输出: []
 Definition for singly-linked list.
 *function ListNode(val, next) {
      this.val = (val===undefined ? 0 : val)
      this.next = (next===undefined ? null : next)
  }

var reverseList = function(head) {
  let p1 = head;
    let p2 = null;
     while(p1){
        const tmp = p1.next; 
        p1.next = p2;
        p2 = p1;
        p1 = tmp
       
     }
       return p2;
};