基于卡尔曼滤波器的回声消除算法

1,354 阅读4分钟

前面有介绍了卡尔曼滤波器,但是由于篇幅原因没有介绍其具体的应用,这里我们介绍使用卡尔曼滤波器做回声消除的过程。我们知道Speex和WebRTC的回声消除都是基于NLMS算法的,但是也有一些公司使用了卡尔曼滤波器进行回声消除。真正的回声消除还包括滤波器后的非线性部分,今天只讨论线性回声消除部分。

回声消除

图片

回声消除以前有讲过,这里简单回顾一下,假设帧长为L远端信号为

图片那么麦克风采集的信号可以表示为

图片

其中v(n)是近端信号,h(n)为声音从扬声器到麦克风整个系统的冲激响应

图片

回声消除要做的事情就是用自适应滤波器去逼近上面系统冲激响应,然后我们将近端信号与估计的回声想减即可得到

状态方程

我们把最近P帧远端信号写成大小为(L,P)的矩阵

图片

此时回声信号可以表示为

图片

类似的,麦克风采集信号可以写为

图片

公式(6)被称为状态方程。我们假定h(n)是零均值的随机矢量并且符合一阶马尔科夫模型,即

图片

其中w(n)是零均值高斯白噪声信号向量并且与h(n-1)和v(n)都不相干。w(n)的相关矩阵可以写成

图片

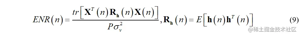
w的方差用于衡量h的不确定性,它决定了卡尔曼滤波器对回声路径的跟踪能力和收敛性。根据公式(6)我们可以定义回声噪声比(echo-to-noise ratio, ENR)

图片

卡尔曼滤波器

根据贝叶斯方法我们可以得出最优的回声路径估计,即状态矢量可以写成

图片

其中K就是卡尔曼的增益矩阵;e是麦克风信号和回声信号估计值之间的先验误差

图片

相应的后验误差则定义为:

图片

其中

图片

称其为状态估计误差或者后验失调。而先验失调定义为:

图片

任何给定时刻 n 的先验失调相关矩阵与n-1时刻的后验失调相关矩阵之间的关系为

图片

卡尔曼增益矩阵通过最小化如下的损失函数得到

图片

容易得出

图片

然后计算先验和后验误差相关矩阵

图片

最后更新后验误差相关矩阵

图片

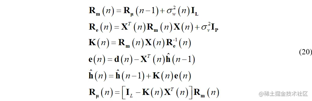
我们最后总结下卡尔曼滤波的整个流程:

图片

回声消除效果

我们最后对比一下LMS和卡尔曼滤波器的效果,使用和解析自适应滤波回声消除一样的音频数据:

图片

首先是LMS滤波器的效果:

图片

然后是卡尔曼滤波器的效果:

图片

可以明显看出卡尔曼滤波器的回声抑制效果要优于LMS的效果。值的一提的是本文这种方法计算量比较大,实际应用中一般变换到频域并划分成若干个子带进行处理。

本文相关代码和数据在公众号语音算法组菜单栏点击Code获取。

参考文献:

[1]. Study of the general kalman lter for echo cancellation