[路飞]_leetcode-86-分隔链表

463 阅读1分钟

一、题目描述

  • 给你一个链表的头节点 head一个特定值 x ,请你对链表进行分隔,使得所有 小于 x 的节点都出现在 大于或等于 x 的节点之前

  • 你应当 保留 两个分区中每个节点的初始相对位置

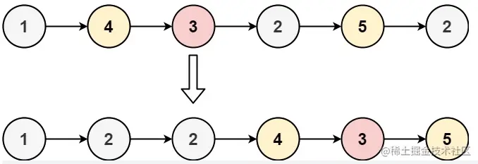
示例1:

fg.png

输入:head = [1,4,3,2,5,2], x = 3
输出:[1,2,2,4,3,5]

示例 2:

输入:head = [2,1], x = 2
输出:[1,2]

分析

  • 首先根据链表的基准值x,把链表拆分成两个,大于等于 x 的指向 big ,小于 x 的指向 smallcur指向代操作链表

l1png.png

image.png

  • 把大于等于 x 的节点放在 big指针的后面,小于等于x的放在small指针后面,并移动cur链表

image.png

image.png

  • 移动 cur 向后走 n 步 ,直到链表为Null时,我们的一个链表就拆分成了2个链表

image.png

二、代码实现

/**
 * Definition for singly-linked list.
 * function ListNode(val, next) {
 *     this.val = (val===undefined ? 0 : val)
 *     this.next = (next===undefined ? null : next)
 * }
 */
/**
 * @param {ListNode} head
 * @param {number} x
 * @return {ListNode}
 */
var partition = function(head, x) {
    if(!head) return null;
    let big = new ListNode() , small = new ListNode();
    let bigNode = big , smallNode = small;
    for(let cur = head, next; cur; cur = next){
        next = cur.next;
        cur.next = null;
        if(cur.val < x){
            smallNode.next = cur;
            smallNode = cur;
        }else{
            bigNode.next = cur;
            bigNode = cur;
        }
    }
    smallNode.next = big.next;
    return small.next;
};

至此我们就完成了两两交换链表中的节点欢迎讨论:三连